Open Access

Fig. 11

image

Download original image

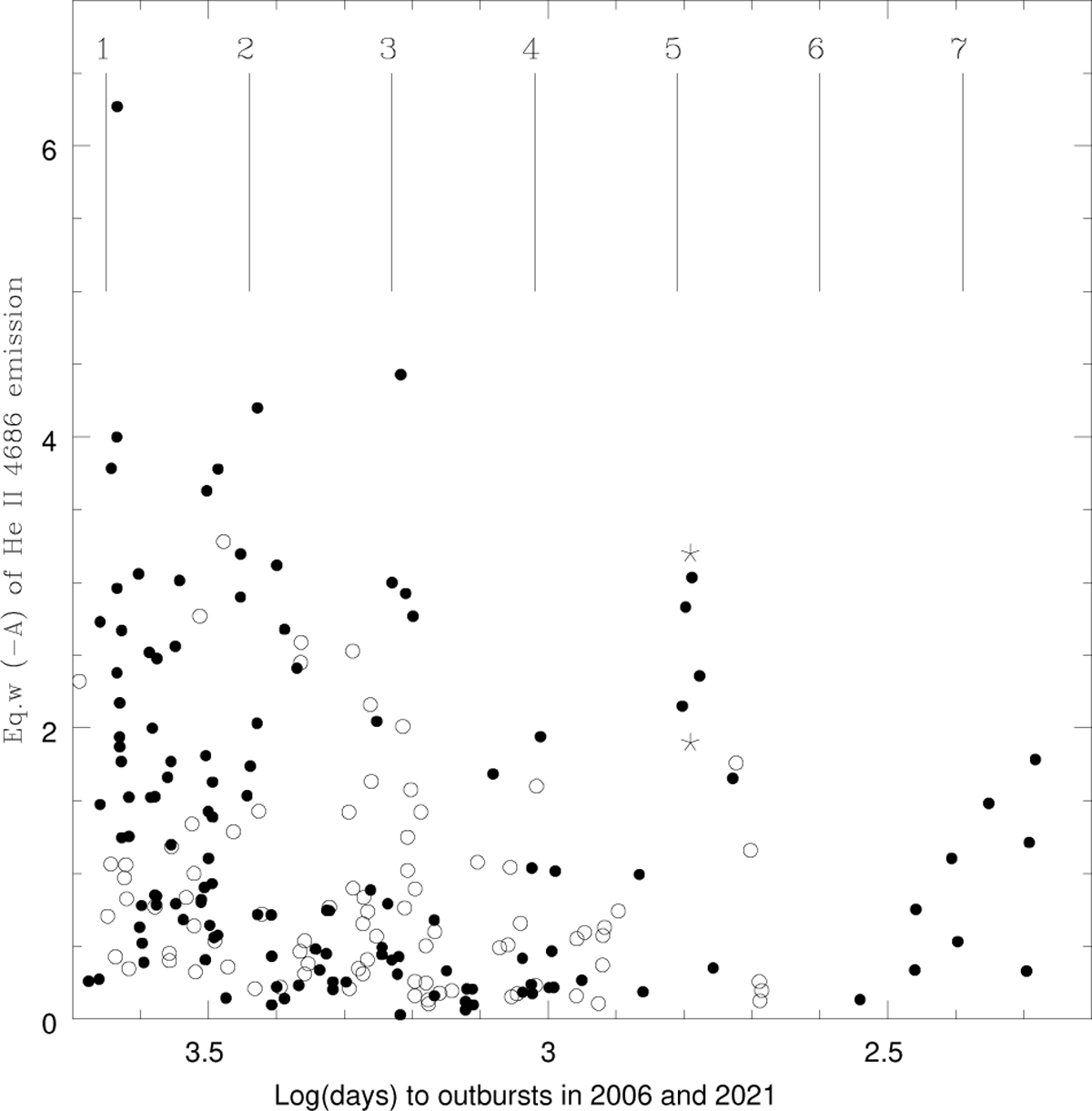
Long-term variation in the equivalent width of the RS Oph He II 4686 line. Symbols have the same meaning as in Fig. 10. The abscissa is days to the outbursts on a logarithmic scale. Numbered vertical lines indicate expected dates of flare-ups according to Eq. (1); those with odd numbers are primary flare-ups.

Current usage metrics show cumulative count of Article Views (full-text article views including HTML views, PDF and ePub downloads, according to the available data) and Abstracts Views on Vision4Press platform.

Data correspond to usage on the plateform after 2015. The current usage metrics is available 48-96 hours after online publication and is updated daily on week days.

Initial download of the metrics may take a while.