Open Access

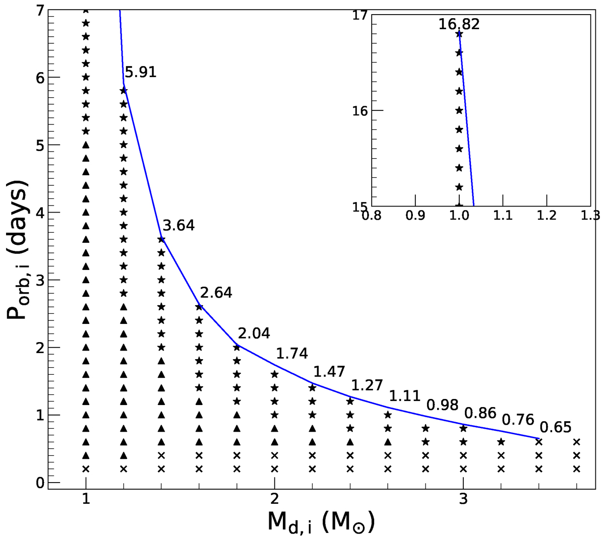
Fig. 7.

image

Download original image

Parameter space distribution of IMBH-MS binaries that can evolve into low-frequency GW sources detectable by LISA, shown in the initial orbital period vs. initial donor-star mass diagram. A constant DM spike index of γ = 1.60 is adopted. The solid curve denotes the bifurcation periods of IMBH binaries with varying donor-star masses. The solid circles and stars represent IMBH binaries that will evolve into low-frequency GW sources detectable by LISA within distances of d = 1 and 10 kpc, respectively. Crosses indicate binaries for which RLOF already occurs at the beginning of binary evolution. When the initial periods are above the bifurcation period, those systems will evolve into IMBH binaries with long periods.

Current usage metrics show cumulative count of Article Views (full-text article views including HTML views, PDF and ePub downloads, according to the available data) and Abstracts Views on Vision4Press platform.

Data correspond to usage on the plateform after 2015. The current usage metrics is available 48-96 hours after online publication and is updated daily on week days.

Initial download of the metrics may take a while.