Open Access

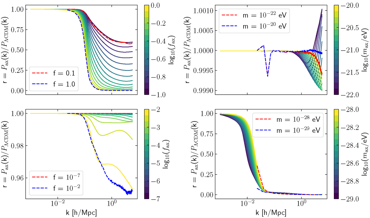
Fig. 8.

image

Download original image

Emulator’s performance close to and outside the parameter-space edges. The dashed lines indicate the power spectrum ratio calculated using COLA. Comparing these results to that of the emulator, it is apparent that the emulator works well close to and just outside the parameter-space edges.

Current usage metrics show cumulative count of Article Views (full-text article views including HTML views, PDF and ePub downloads, according to the available data) and Abstracts Views on Vision4Press platform.

Data correspond to usage on the plateform after 2015. The current usage metrics is available 48-96 hours after online publication and is updated daily on week days.

Initial download of the metrics may take a while.