Open Access

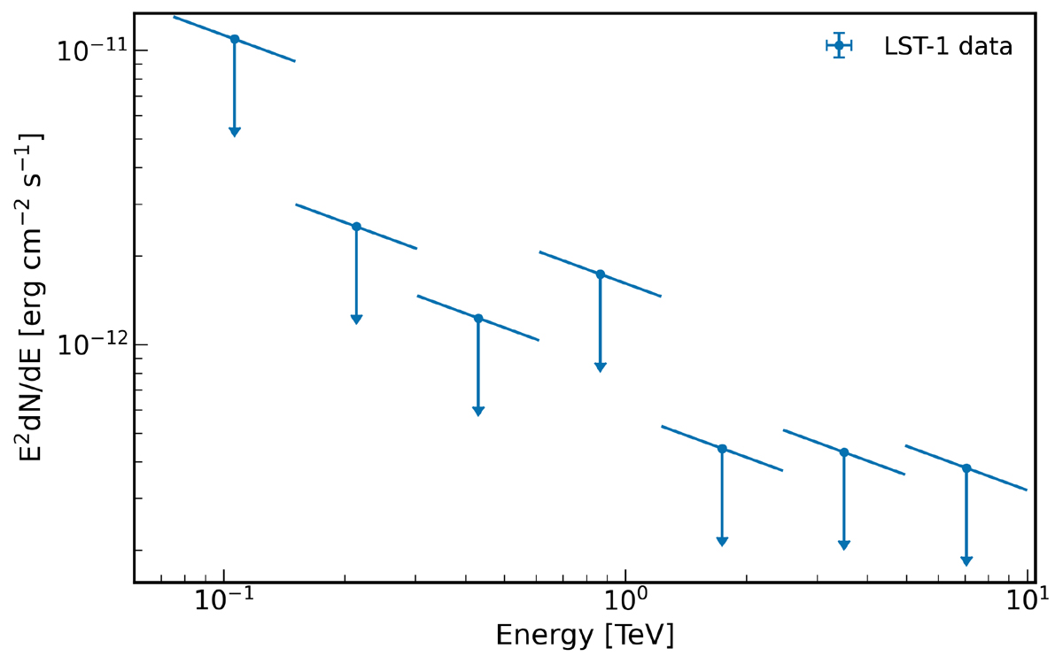
Fig. 1.

image

Download original image

LST-1 differential ULs obtained from SN 2024bch observations between 75 GeV and 10 TeV, estimated with three energy bins per decade and assuming a fixed spectral index of –2.5 considering the full time-range. ULs are computed with a 2σ confidence level.

Current usage metrics show cumulative count of Article Views (full-text article views including HTML views, PDF and ePub downloads, according to the available data) and Abstracts Views on Vision4Press platform.

Data correspond to usage on the plateform after 2015. The current usage metrics is available 48-96 hours after online publication and is updated daily on week days.

Initial download of the metrics may take a while.