Open Access

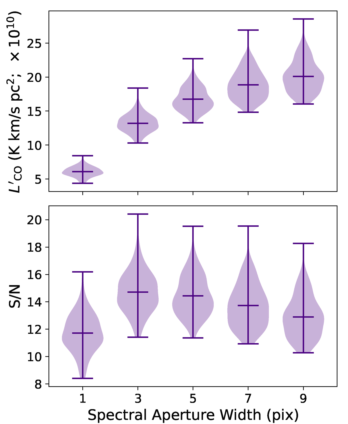
Fig. 8.

image

Download original image

Violin plot showing how the luminosity (top) and the S/N (bottom) of the stack changes as the central aperture being summed over to determine the final stack luminosity is widened in the spectral axis. The default configuration uses a three-channel aperture.

Current usage metrics show cumulative count of Article Views (full-text article views including HTML views, PDF and ePub downloads, according to the available data) and Abstracts Views on Vision4Press platform.

Data correspond to usage on the plateform after 2015. The current usage metrics is available 48-96 hours after online publication and is updated daily on week days.

Initial download of the metrics may take a while.