Open Access

Fig. B.3.

image

Download original image

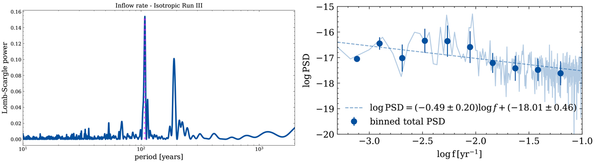
Periodicities and the power spectral density for the accretion rate in isotropic Run III. Left: Lomb–Scargle periodogram (power vs. period in years) with the most prominent peak at ∼108 years. Other prominent peaks are at ∼190, ∼69, and ∼55 years. Right: PSD with the best-fit power-law function with the slope of −0.49 ± 0.20.

Current usage metrics show cumulative count of Article Views (full-text article views including HTML views, PDF and ePub downloads, according to the available data) and Abstracts Views on Vision4Press platform.

Data correspond to usage on the plateform after 2015. The current usage metrics is available 48-96 hours after online publication and is updated daily on week days.

Initial download of the metrics may take a while.