Open Access

Fig. 3.

image

Download original image

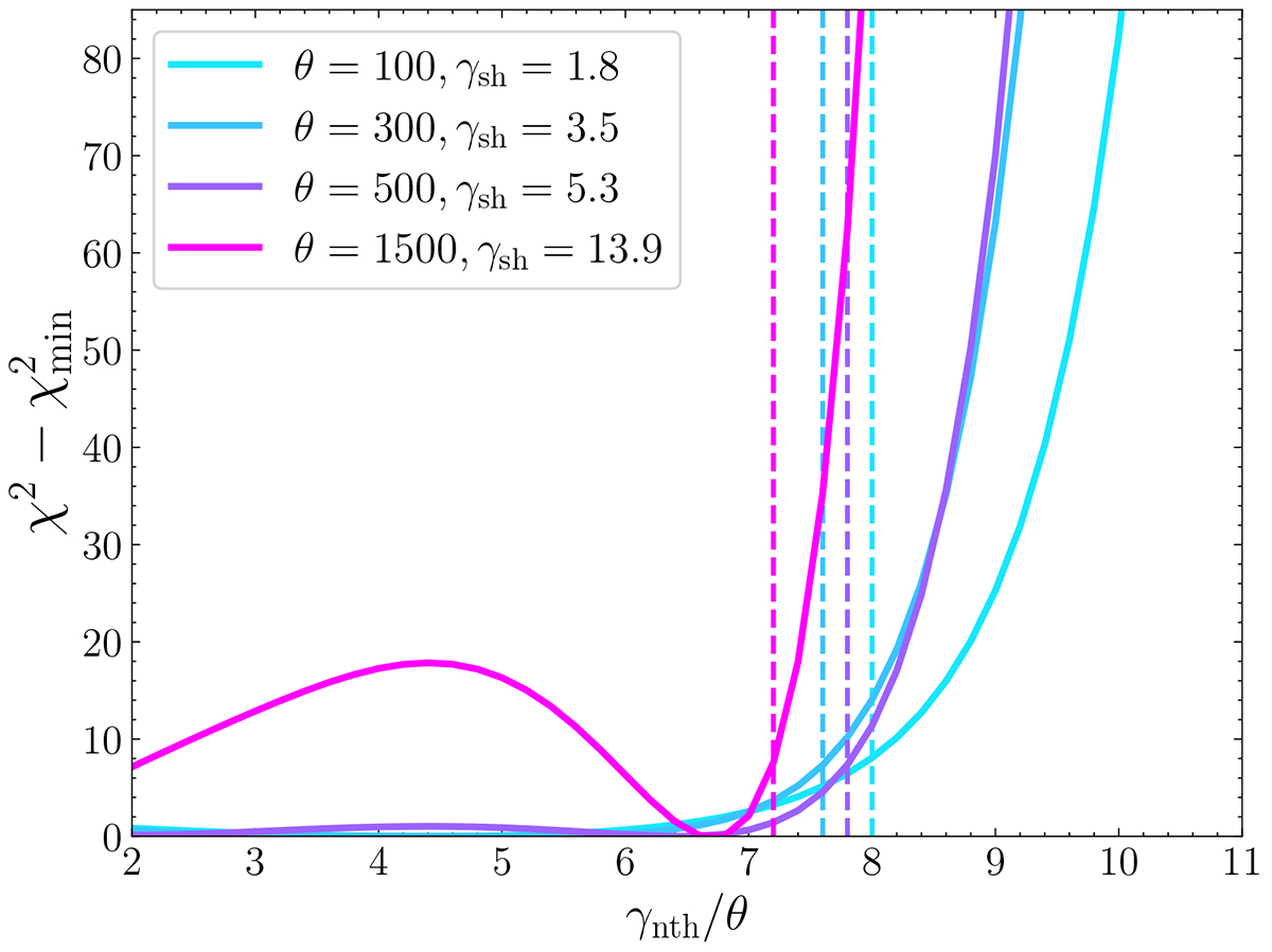
The difference χ2 − χmin2 as a function of γnth/θ, for θ = [100, 300, 500, 1500], equivalent to a shock velocity of γsh = [1.8, 3.5, 5.3, 13.9]. We refer the reader to Sect. 5 for more details on the connection between θ and γsh. We denote by χmin2 the minimum χ2 for a given θ. The vertical dashed lines mark the γnth/θ value beyond which χ2 − χmin2 > 9.

Current usage metrics show cumulative count of Article Views (full-text article views including HTML views, PDF and ePub downloads, according to the available data) and Abstracts Views on Vision4Press platform.

Data correspond to usage on the plateform after 2015. The current usage metrics is available 48-96 hours after online publication and is updated daily on week days.

Initial download of the metrics may take a while.