Open Access

Fig. 4.

image

Download original image

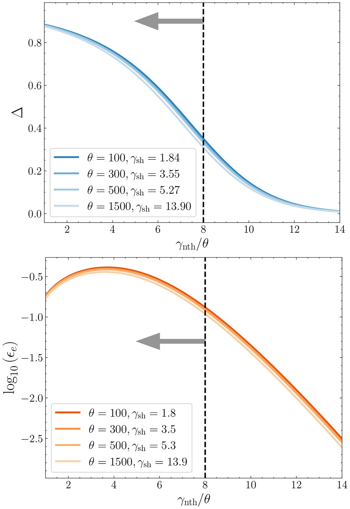
The top and bottom panels shows Δ and ϵe (using Eq. (3) and Eq. (4)) versus γnth/θ, respectively. The allowed region lies to the left of the vertical dashed black line placed at γnth/θ = 8, which is roughly the maximum value that we found compatible with the measurements.

Current usage metrics show cumulative count of Article Views (full-text article views including HTML views, PDF and ePub downloads, according to the available data) and Abstracts Views on Vision4Press platform.

Data correspond to usage on the plateform after 2015. The current usage metrics is available 48-96 hours after online publication and is updated daily on week days.

Initial download of the metrics may take a while.