Open Access

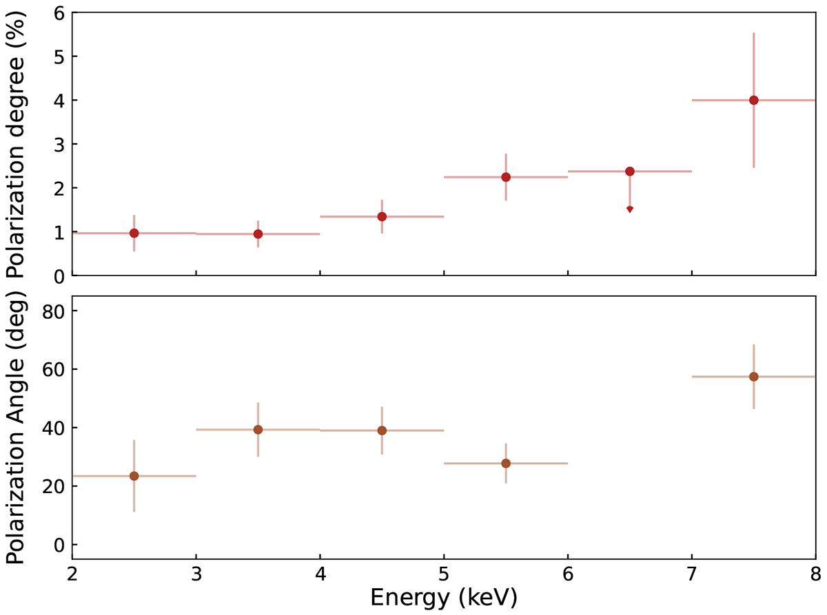
Fig. 4.

image

Download original image

Energy-dependent polarimetric properties of GX 340+0 in the NS. PD (top panel) and PA (bottom panel) as a function of the energy in 1 keV energy bins. The errors are reported at 68% CL, while the upper limit is at 90% CL, see text.

Current usage metrics show cumulative count of Article Views (full-text article views including HTML views, PDF and ePub downloads, according to the available data) and Abstracts Views on Vision4Press platform.

Data correspond to usage on the plateform after 2015. The current usage metrics is available 48-96 hours after online publication and is updated daily on week days.

Initial download of the metrics may take a while.