Open Access

Fig. 10.

image

Download original image

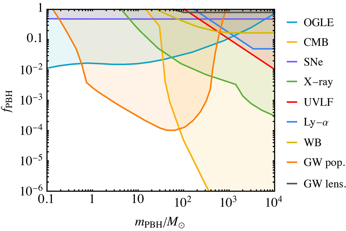
Constraints on the fraction of the DM density provided by PBHs from the OGLE microlensing survey (Mróz et al. 2024), accretion limits from CMB observations (Serpico et al. 2020), SNe lensing (Zumalacarregui & Seljak 2018), the population of X-ray sources (Inoue & Kusenko 2017), Lyman-α data (Murgia et al. 2019), survival of wide binaries (Monroy-Rodríguez & Allen 2014), the population of gravitational wave (GW) sources (Andrés-Carcasona et al. 2024), and GW lensing (Urrutia et al. 2023). The red line shows the upper limit derived in this work from measurements of the UV luminosity function.

Current usage metrics show cumulative count of Article Views (full-text article views including HTML views, PDF and ePub downloads, according to the available data) and Abstracts Views on Vision4Press platform.

Data correspond to usage on the plateform after 2015. The current usage metrics is available 48-96 hours after online publication and is updated daily on week days.

Initial download of the metrics may take a while.