Open Access

Fig. 3.

image

Download original image

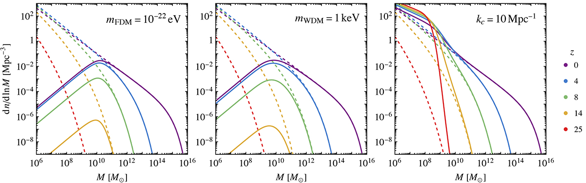
HMF at various redshifts z in the FDM (left) and WDM (middle) models, and in models where white noise dominates the matter perturbations at k > kc (right). The dashed contours show the HMF in the CDM model for comparison.

Current usage metrics show cumulative count of Article Views (full-text article views including HTML views, PDF and ePub downloads, according to the available data) and Abstracts Views on Vision4Press platform.

Data correspond to usage on the plateform after 2015. The current usage metrics is available 48-96 hours after online publication and is updated daily on week days.

Initial download of the metrics may take a while.