Open Access

Fig. 6.

image

Download original image

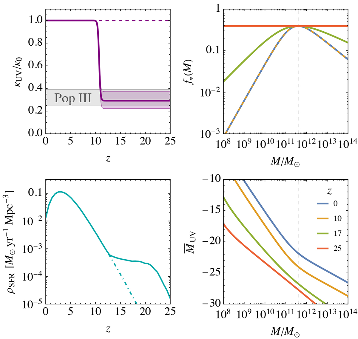
Upper left: Best-fit UV conversion factor (35) as a function of redshift (thick purple curve) and the 68% range in fκ (purple band). Upper right: Best-fit SFR (34) as a function of halo mass at different redshifts. Lower left: SFR density with (solid) and without (dot-dashed) the suppression (36) of the feedback effects. Lower right: Best-fit mean UV magnitude as a function of the halo mass at different redshifts.

Current usage metrics show cumulative count of Article Views (full-text article views including HTML views, PDF and ePub downloads, according to the available data) and Abstracts Views on Vision4Press platform.

Data correspond to usage on the plateform after 2015. The current usage metrics is available 48-96 hours after online publication and is updated daily on week days.

Initial download of the metrics may take a while.