Open Access

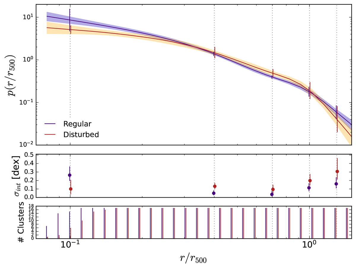
Fig. 16.

image

Download original image

Pressure profiles (top panel) and intrinsic scatter (top and central panels) of regular and disturbed clusters. Error bars and shading as in Fig. 12. Points are slightly horizontally offset for clarity. Regular clusters seem to show a lower scatter at r ≥ 0.4r500 and a more peaked profile at the center. The bottom panel shows the number of objects contributing at each radius.

Current usage metrics show cumulative count of Article Views (full-text article views including HTML views, PDF and ePub downloads, according to the available data) and Abstracts Views on Vision4Press platform.

Data correspond to usage on the plateform after 2015. The current usage metrics is available 48-96 hours after online publication and is updated daily on week days.

Initial download of the metrics may take a while.