Open Access

Fig. 7.

image

Download original image

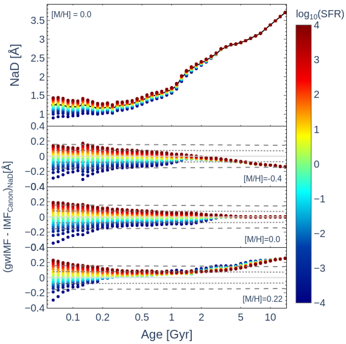
Index information of NaD. Each index panel contains four vertical sub-panels. The first top panel represents the index value (in black based on canonical IMF and with a colour palette based on gwIMF for different SFRs) for a solar metallicity of [M/H] = 0. Similarly, the bottom panels represent the difference between the index based on gwIMF with different SFRs and the one based on the canonical IMF. From the second to the fourth panel, each one represents different metallicities (in order [M/H] = −0.4, [M/H] = 0, [M/H] = 0.22), signalling in each case a representative observational error obtained for a signal-to-noise ratio of S/N = 50 (dashed grey line) and S/N = 100 (dotted grey line).

Current usage metrics show cumulative count of Article Views (full-text article views including HTML views, PDF and ePub downloads, according to the available data) and Abstracts Views on Vision4Press platform.

Data correspond to usage on the plateform after 2015. The current usage metrics is available 48-96 hours after online publication and is updated daily on week days.

Initial download of the metrics may take a while.