Open Access

Fig. 8

image

Download original image

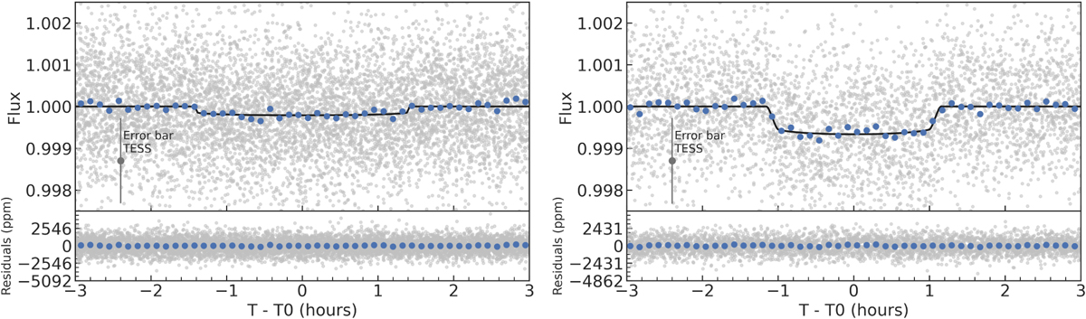
Top: stacked phase-folded PDCSAP TESS data (grey dots), binned TESS data (blue dots), and the median model (black line) from the pyaneti 2c fit, for the inner candidate TOI-2322.02 (left) and outer candidate TOI-2322.01 (right). Bottom: residuals to the fit.

Current usage metrics show cumulative count of Article Views (full-text article views including HTML views, PDF and ePub downloads, according to the available data) and Abstracts Views on Vision4Press platform.

Data correspond to usage on the plateform after 2015. The current usage metrics is available 48-96 hours after online publication and is updated daily on week days.

Initial download of the metrics may take a while.