Open Access

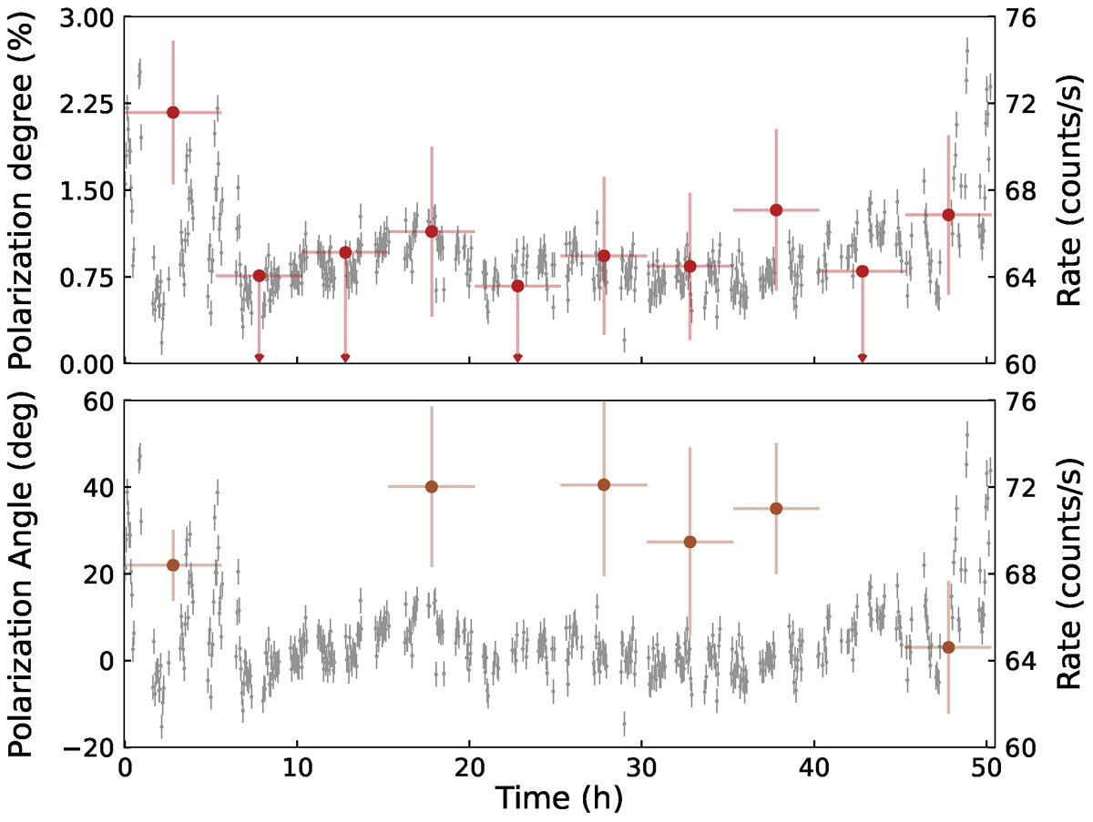
Fig. 6.

image

Download original image

Time-resolved polarimetric analysis of GX 349+2: PD (top panel) and PA (bottom panel). The IXPE observation is divided into ten equal time bins of ∼5.6 hours. The errors and the upper limits are reported at 68% CL.

Current usage metrics show cumulative count of Article Views (full-text article views including HTML views, PDF and ePub downloads, according to the available data) and Abstracts Views on Vision4Press platform.

Data correspond to usage on the plateform after 2015. The current usage metrics is available 48-96 hours after online publication and is updated daily on week days.

Initial download of the metrics may take a while.