Open Access

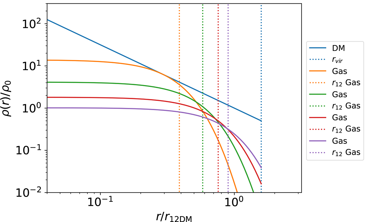
Fig. C.1.

image

Download original image

Example of the DM and gas densities used to represent the initial DM halos. For the DM to dominate at all radii, the sizes of the DM and gas distributions have to be comparable. The power-law DM density profile is shown as the solid blue line, with the virial radius marked as a vertical dashed blue line. The gas profiles are shown in different colors with the half-mass radii shown as vertical dotted lines with the color corresponding to the gas profile. Radii are normalized to the half mass radius of the DM distribution r12DM. The half-mass radii of the gas distribution has to be larger than 0.37 times the half-mass radius for the DM density to be larger than the gas density. The solid orange line shows this limiting case.

Current usage metrics show cumulative count of Article Views (full-text article views including HTML views, PDF and ePub downloads, according to the available data) and Abstracts Views on Vision4Press platform.

Data correspond to usage on the plateform after 2015. The current usage metrics is available 48-96 hours after online publication and is updated daily on week days.

Initial download of the metrics may take a while.