Open Access

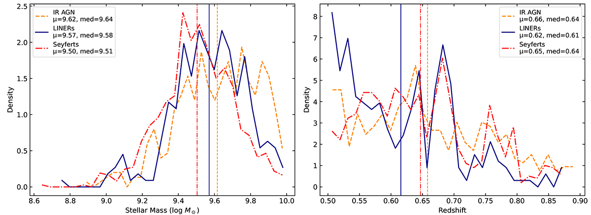
Fig. 1.

image

Download original image

Distributions of stellar mass (left) and redshift (right) for the three AGN populations. The mean (μ) and median (med) values for each distribution are indicated in the legends. Vertical lines correspond to mean values.

Current usage metrics show cumulative count of Article Views (full-text article views including HTML views, PDF and ePub downloads, according to the available data) and Abstracts Views on Vision4Press platform.

Data correspond to usage on the plateform after 2015. The current usage metrics is available 48-96 hours after online publication and is updated daily on week days.

Initial download of the metrics may take a while.