Open Access

Fig. 8.

image

Download original image

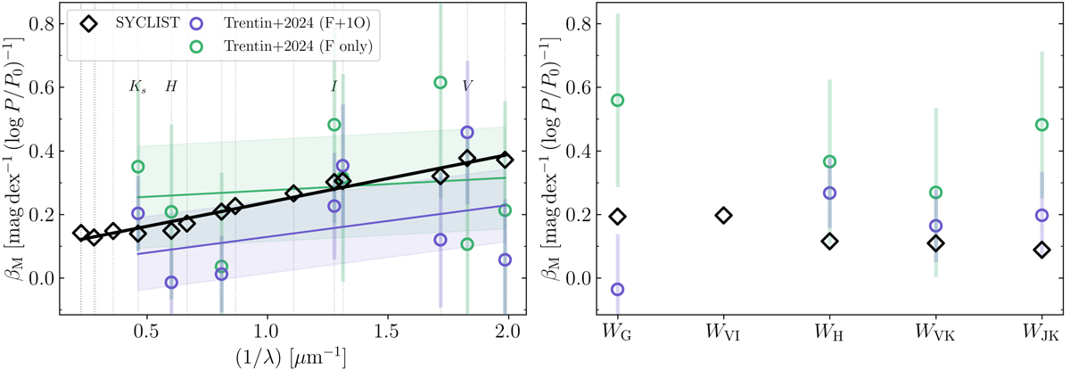
Metallicity effect on the LL slope, βM, as defined in Eq. (3). The left panel shows βM as a function of the effective wavelength 1/λ, while the right panel shows the comparison for Wesenheit magnitudes. Our predictions based on SYCLIST are shown in black. Observational results from Trentin et al. (2024) are shown for the fundamental-mode and first-overtone Cepheids and fundamental-mode Cepheids alone in blue and green, respectively. In the left panel, the vertical dotted lines show the location of all the photometric passbands considered, and we label some of them to orient the reader.

Current usage metrics show cumulative count of Article Views (full-text article views including HTML views, PDF and ePub downloads, according to the available data) and Abstracts Views on Vision4Press platform.

Data correspond to usage on the plateform after 2015. The current usage metrics is available 48-96 hours after online publication and is updated daily on week days.

Initial download of the metrics may take a while.