Open Access

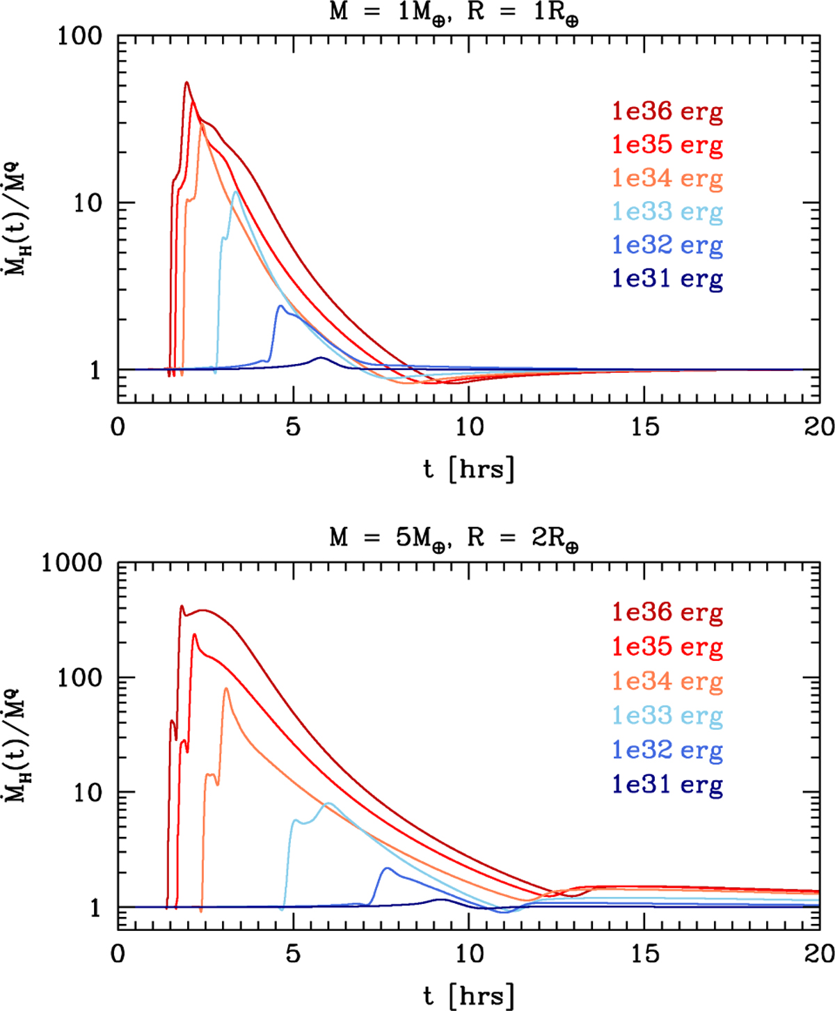
Fig. 1

image

Download original image

Temporal evolution of atmospheric mass loss in response to stellar flares of different energies. The ratio of the instantaneous mass-loss rate to the quiescent mass-loss rate is shown for input flares ranging from 1031 erg (dark blue) to 1036 erg (dark red). Values are provided at the system’s Hill radius. The top and bottom panels refer to the Earthand sub-Neptune-sized planet, respectively.

Current usage metrics show cumulative count of Article Views (full-text article views including HTML views, PDF and ePub downloads, according to the available data) and Abstracts Views on Vision4Press platform.

Data correspond to usage on the plateform after 2015. The current usage metrics is available 48-96 hours after online publication and is updated daily on week days.

Initial download of the metrics may take a while.