Open Access

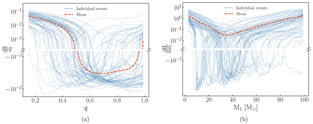
Fig. 2.

image

Download original image

Differential information entropy between prior and marginal posterior as a function of mass ratio (left) and primary mass (right). Each blue solid line represents one individual GW event, whereas the dashed red line marks the average differential information entropy. We highlight that the top and bottom parts of the two panels have different limits. (a) Mass ratio. (b) Primary mass.

Current usage metrics show cumulative count of Article Views (full-text article views including HTML views, PDF and ePub downloads, according to the available data) and Abstracts Views on Vision4Press platform.

Data correspond to usage on the plateform after 2015. The current usage metrics is available 48-96 hours after online publication and is updated daily on week days.

Initial download of the metrics may take a while.