Open Access

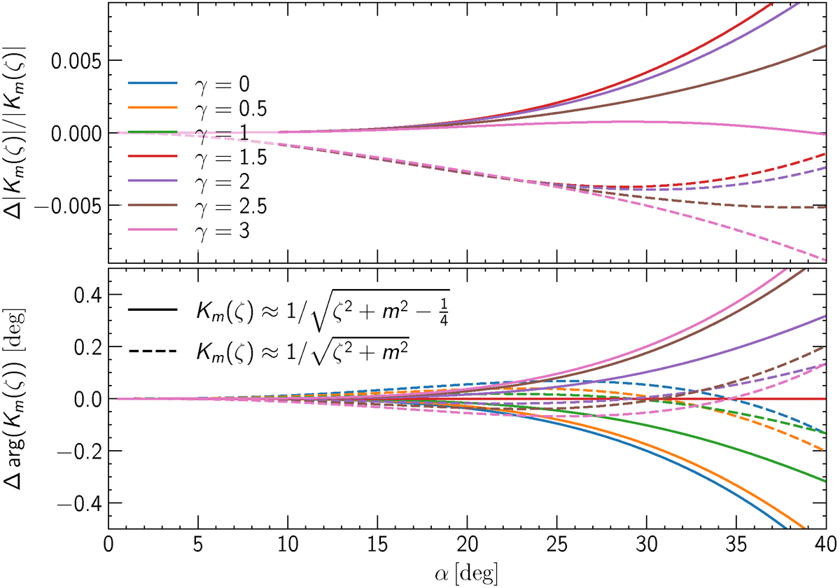
Fig. 1.

image

Download original image

Assessing the accuracy of the approximation (20) for m = 2 (for m > 2 the accuracy is better). The real (imaginary) parts are even (odd) functions of γ 3 2 $ \gamma-\frac 3 2 $ (hence the relations for γ < 3 2 $ \gamma{ < }\frac 3 2 $ are hidden in the top panel). I also show (dashed) the relation given by Kalnajs (1971).

Current usage metrics show cumulative count of Article Views (full-text article views including HTML views, PDF and ePub downloads, according to the available data) and Abstracts Views on Vision4Press platform.

Data correspond to usage on the plateform after 2015. The current usage metrics is available 48-96 hours after online publication and is updated daily on week days.

Initial download of the metrics may take a while.