Open Access

Fig. 3.

image

Download original image

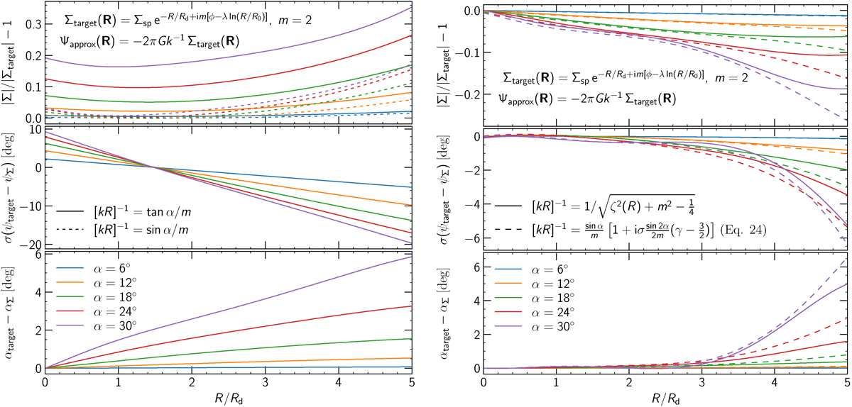
Assessing the ability of the first-order (left) and our novel (right) tight-winding approximations to provide a gravitational potential for the target density (31) of a logarithmic spiral with pitch angle α and exponentially declining amplitude. From the density that is actually generated by the approximate potential, I plot the radial profiles of the relative amplitude error (top) and the errors in phase (middle) and pitch angle (bottom), which for the first-order methods are also the respective offsets between the potential and density because to first order, ψΨ = ψtarget.

Current usage metrics show cumulative count of Article Views (full-text article views including HTML views, PDF and ePub downloads, according to the available data) and Abstracts Views on Vision4Press platform.

Data correspond to usage on the plateform after 2015. The current usage metrics is available 48-96 hours after online publication and is updated daily on week days.

Initial download of the metrics may take a while.