Open Access

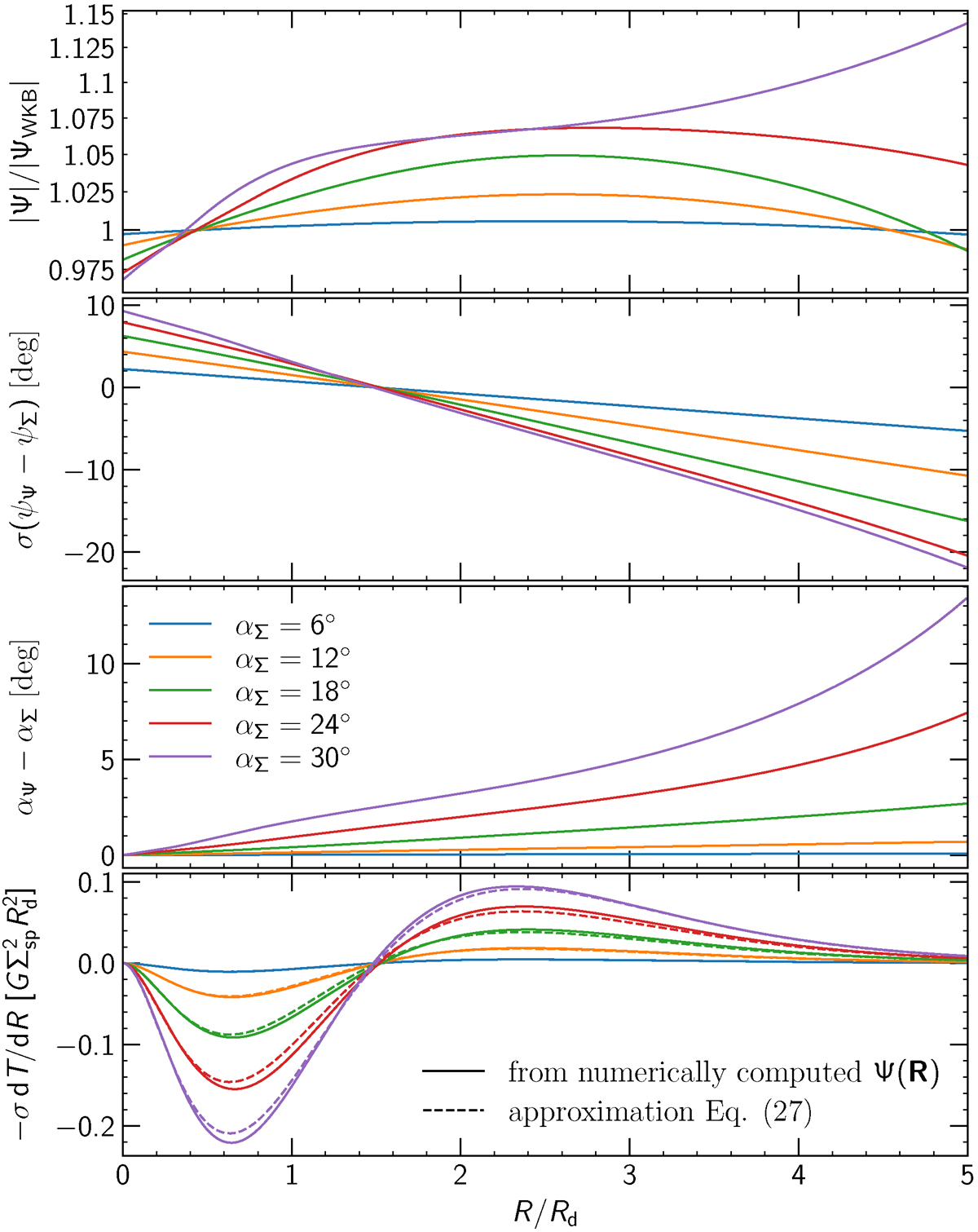
Fig. 4.

image

Download original image

Properties of a spiral with density (Eq. (31)) and its (numerically computed) potential. Radial profiles of the amplitude ratio to the first-order tight-winding approximation (Eqs. (9) and (10b)), the offsets of phase and pitch angle between the potential and density, and the torque per annulus (< 0 if angular momentum is lost for stars in a galaxy with a trailing spiral).

Current usage metrics show cumulative count of Article Views (full-text article views including HTML views, PDF and ePub downloads, according to the available data) and Abstracts Views on Vision4Press platform.

Data correspond to usage on the plateform after 2015. The current usage metrics is available 48-96 hours after online publication and is updated daily on week days.

Initial download of the metrics may take a while.