Open Access

Fig. 6.

image

Download original image

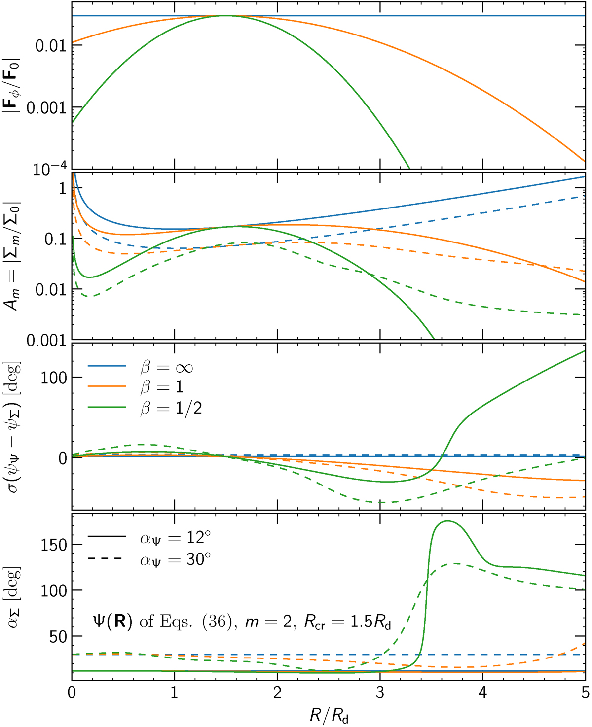
Assessing the model (36) used by Hamilton et al. (2024) for the same parameters as used by these authors. Plotted as function of radius from top to bottom, I show the relative perturbation strength of the forces, the relative amplitude Am = 2 of the density perturbation (assuming the unperturbed disc is maximal with scale radius related to the co-rotation radius of the spiral as Rcr = 1.5Rd), the phase offset between the potential and density, and the density pitch angle.

Current usage metrics show cumulative count of Article Views (full-text article views including HTML views, PDF and ePub downloads, according to the available data) and Abstracts Views on Vision4Press platform.

Data correspond to usage on the plateform after 2015. The current usage metrics is available 48-96 hours after online publication and is updated daily on week days.

Initial download of the metrics may take a while.