Open Access

Fig. 7.

image

Download original image

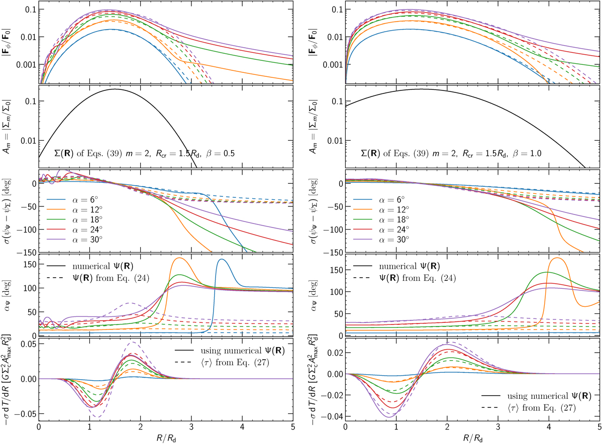
Similar to Fig. 6, but for the density models of Eq. (37a) with constant pitch angle α and relative perturbation density-amplitude Am(R) = AmaxBH24(R, β), i.e., the same profile as the relative perturbation force-amplitude for the model of Hamilton et al. (2024, shown in Fig. 6) for β = 1 2 $ \beta=\frac 1 2 $ (left) and β = 1 (right). Differently from that figure, the pitch angle of the potential is plotted. The estimates for the potential from the second-order tight-winding approximation (24) are also shown, as is the torque per annulus (bottom) and its approximation (27).

Current usage metrics show cumulative count of Article Views (full-text article views including HTML views, PDF and ePub downloads, according to the available data) and Abstracts Views on Vision4Press platform.

Data correspond to usage on the plateform after 2015. The current usage metrics is available 48-96 hours after online publication and is updated daily on week days.

Initial download of the metrics may take a while.