Open Access

Fig. 2.

image

Download original image

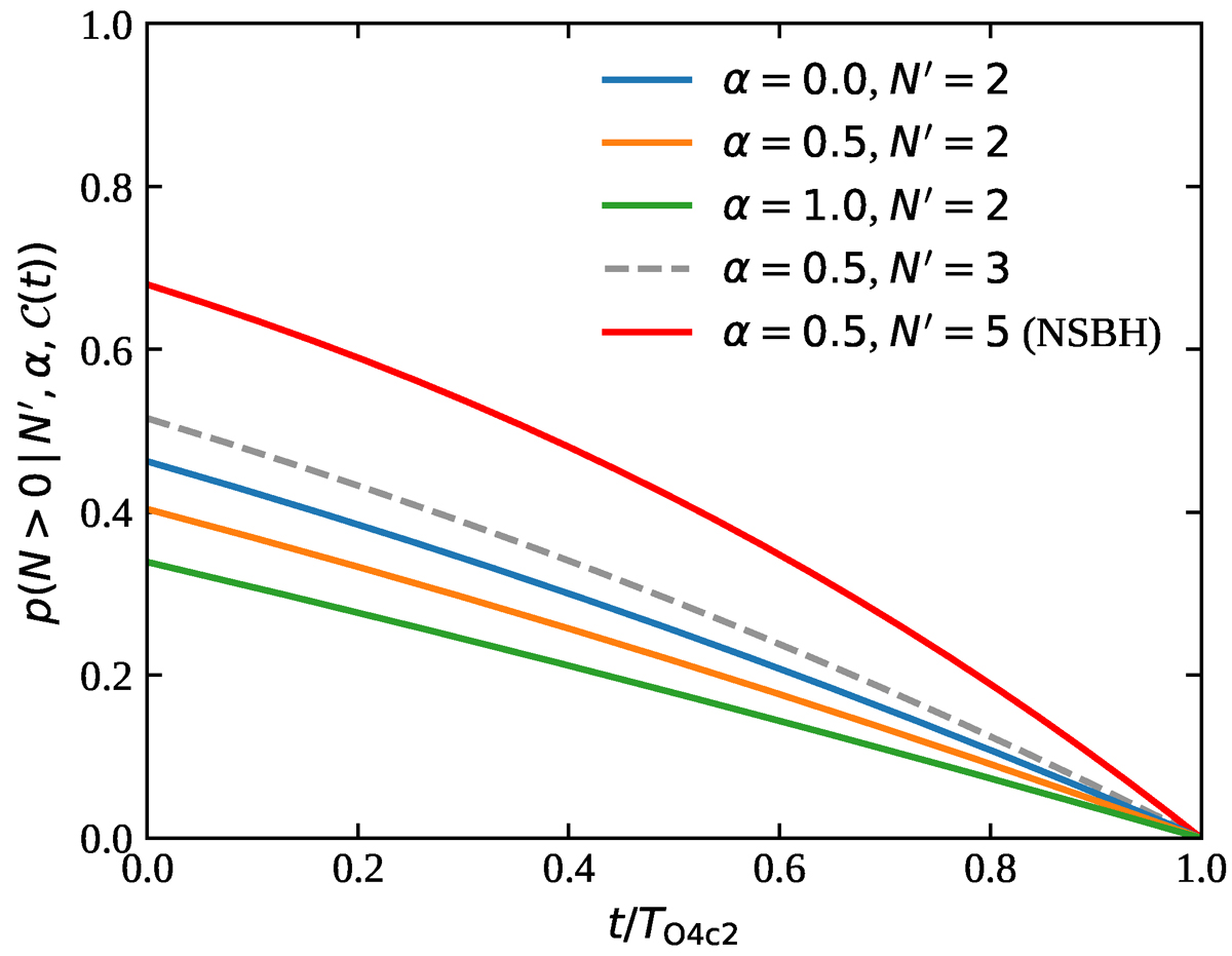
Probability of at least one detection in the remainder of O4, as a function of time, t, from the start of O4c2, for three different prior choices (different colours), keeping N′ = 2 fixed (i.e. assuming no detection, solid lines). The dashed line represents the probability of at least one hypothetical further detection after a third detection has been made during O4c2.

Current usage metrics show cumulative count of Article Views (full-text article views including HTML views, PDF and ePub downloads, according to the available data) and Abstracts Views on Vision4Press platform.

Data correspond to usage on the plateform after 2015. The current usage metrics is available 48-96 hours after online publication and is updated daily on week days.

Initial download of the metrics may take a while.