Open Access

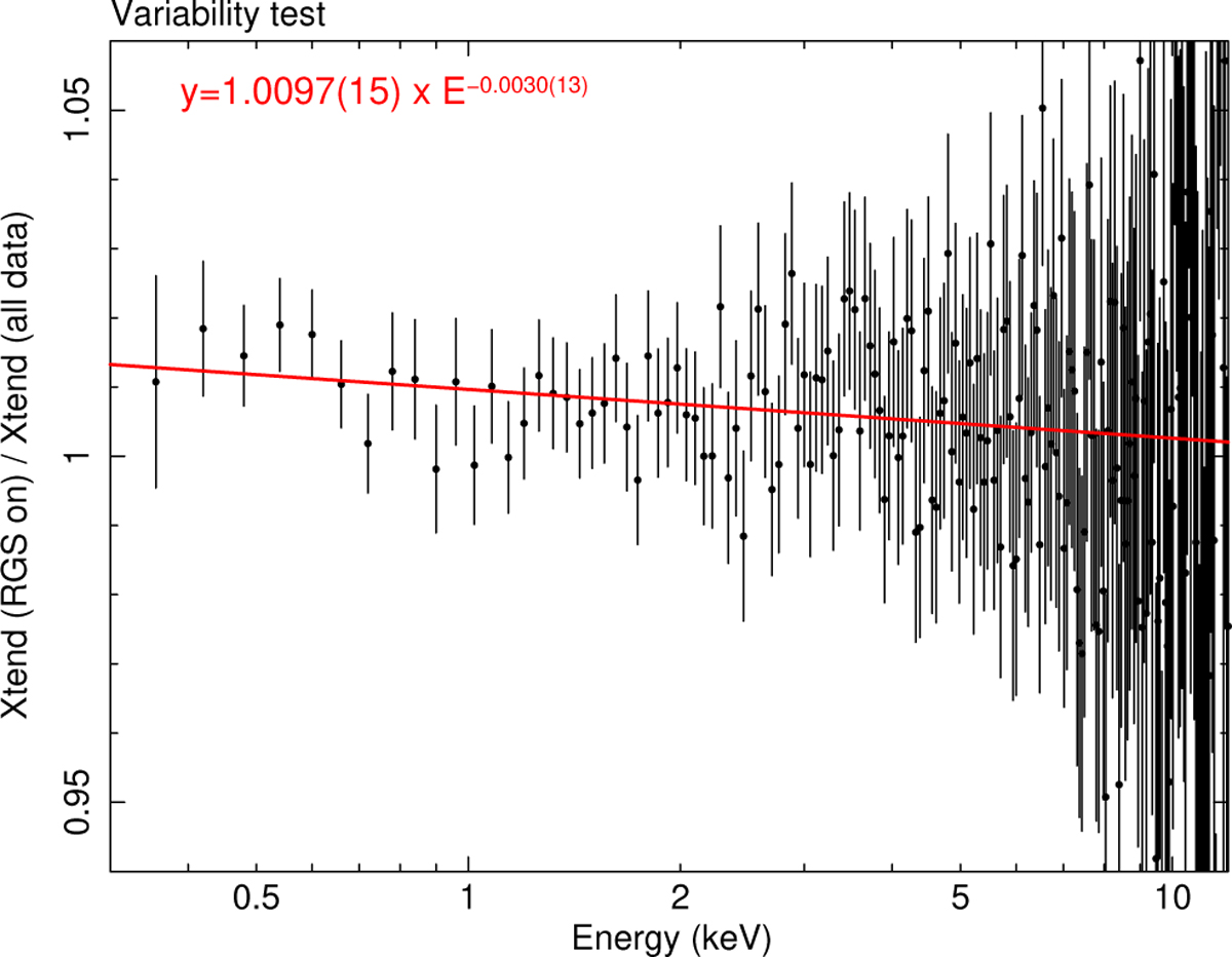
Fig. 11

image

Download original image

Ratio of the Xtend spectrum during the time when RGS was observing to the full Xtend spectrum. The red curve is a simple powerlaw approximation to this ratio.

Current usage metrics show cumulative count of Article Views (full-text article views including HTML views, PDF and ePub downloads, according to the available data) and Abstracts Views on Vision4Press platform.

Data correspond to usage on the plateform after 2015. The current usage metrics is available 48-96 hours after online publication and is updated daily on week days.

Initial download of the metrics may take a while.