Open Access

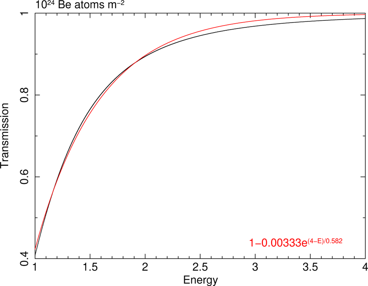
Fig. 4

image

Download original image

Simple analytical approximation (red) used to reduce excess Resolve flux compared to Xtend and other CCD instruments at the low-energy end of the Resolve band. This expression was derived by approximating the transmission of 1024 atoms m2 (black).

Current usage metrics show cumulative count of Article Views (full-text article views including HTML views, PDF and ePub downloads, according to the available data) and Abstracts Views on Vision4Press platform.

Data correspond to usage on the plateform after 2015. The current usage metrics is available 48-96 hours after online publication and is updated daily on week days.

Initial download of the metrics may take a while.