Open Access

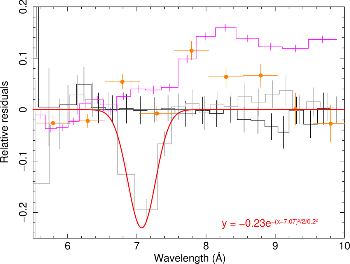
Fig. 7

image

Download original image

Residuals for a joint fit with a spline model through the RGS1 (black), RGS2 (grey, excluding wavelength between 6.55 and 7.55 Å in the fit), Resolve and NuSTAR (not shown) instruments. For comparison we show the residuals to this model for Xtend (purple histogram) and MEG (orange); these last two instruments were not included in the fit. The red line is a fit to the RGS2 residuals, with model and parameters indicated in the inset.

Current usage metrics show cumulative count of Article Views (full-text article views including HTML views, PDF and ePub downloads, according to the available data) and Abstracts Views on Vision4Press platform.

Data correspond to usage on the plateform after 2015. The current usage metrics is available 48-96 hours after online publication and is updated daily on week days.

Initial download of the metrics may take a while.