Open Access

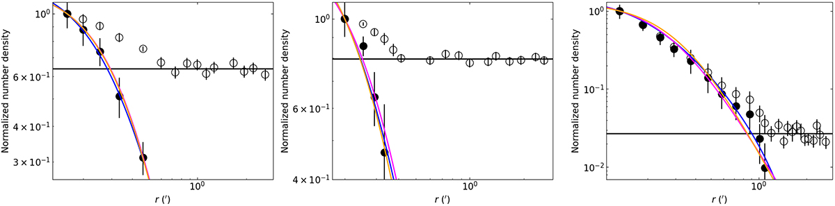
Fig. 4.

image

Download original image

Normalized observed and background-subtracted star number-density radial profiles of OGLE-CL-SMC0133 (left), OGLE-CL-SMC0237 (middle), and Lindsay 116 (right) drawn with open and black filled circles, respectively, with uncertainties represented by error bars. The horizontal line represents the adopted mean background level. Blue, orange, and magenta solid lines are the best-fit King (1962), Plummer (1911), and Elson et al. (1987) models, respectively.

Current usage metrics show cumulative count of Article Views (full-text article views including HTML views, PDF and ePub downloads, according to the available data) and Abstracts Views on Vision4Press platform.

Data correspond to usage on the plateform after 2015. The current usage metrics is available 48-96 hours after online publication and is updated daily on week days.

Initial download of the metrics may take a while.