Open Access

Fig. 5

image

Download original image

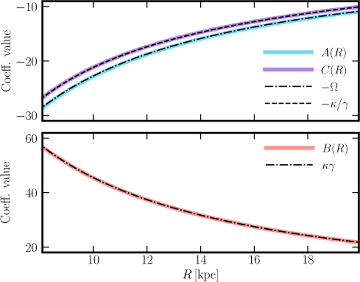
Radial profiles of the coefficients A (blue), B (coral), and C (purple) from the linear PDE system (Eq. (9)) found by SINDy, governing the evolution of velocity perturbations in small impact simulations (Eq. (3)). The black lines show the corresponding analytical values derived in Sect. 4 (Eq. (11)). The excellent agreement between the SINDy-discovered coefficients and the analytical predictions demonstrates the success in recovering the underlying linear dynamics.

Current usage metrics show cumulative count of Article Views (full-text article views including HTML views, PDF and ePub downloads, according to the available data) and Abstracts Views on Vision4Press platform.

Data correspond to usage on the plateform after 2015. The current usage metrics is available 48-96 hours after online publication and is updated daily on week days.

Initial download of the metrics may take a while.