Open Access

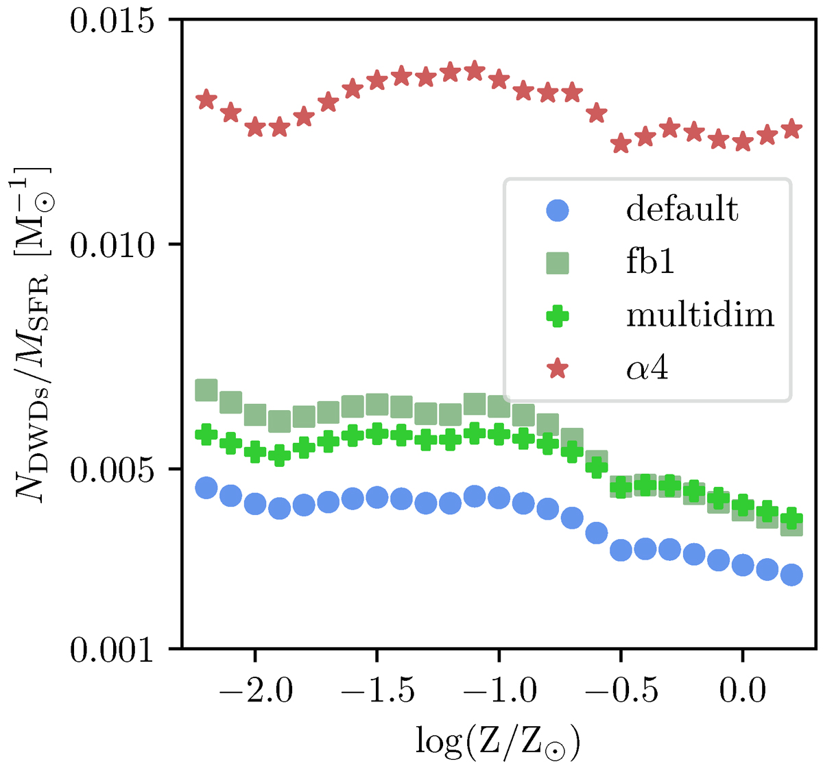
Fig. A.3.

image

Download original image

Formation efficiency of DWDs as a function of metallicity for the four COSMIC models considered in this study. At each metallicity, η was computed as the number of DWD sytems formed above the low-frequency cutoff divided by the total mass of the stellar population simulated in COSMIC.

Current usage metrics show cumulative count of Article Views (full-text article views including HTML views, PDF and ePub downloads, according to the available data) and Abstracts Views on Vision4Press platform.

Data correspond to usage on the plateform after 2015. The current usage metrics is available 48-96 hours after online publication and is updated daily on week days.

Initial download of the metrics may take a while.