Open Access

Fig. 3

image

Download original image

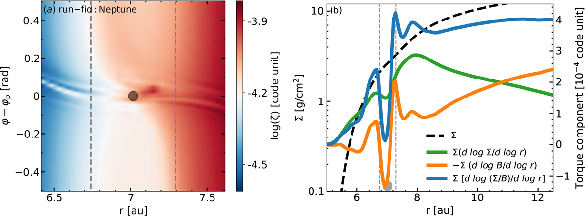
Inverse vortensity (ζ) close to the planet in the rϕ frame (panel a) and surface density profile and corotation torque components (panel b) in run-fid for a Neptune-mass planet at t = 3.5 × 104 P0. In both panels, the width between the vertical dashed lines is 2 max(rH, rhs). The asymmetric ζ distribution between the upper and lower parts of the horseshoe region results in a strong, positive corotation torque.

Current usage metrics show cumulative count of Article Views (full-text article views including HTML views, PDF and ePub downloads, according to the available data) and Abstracts Views on Vision4Press platform.

Data correspond to usage on the plateform after 2015. The current usage metrics is available 48-96 hours after online publication and is updated daily on week days.

Initial download of the metrics may take a while.