Open Access

Fig. 6.

image

Download original image

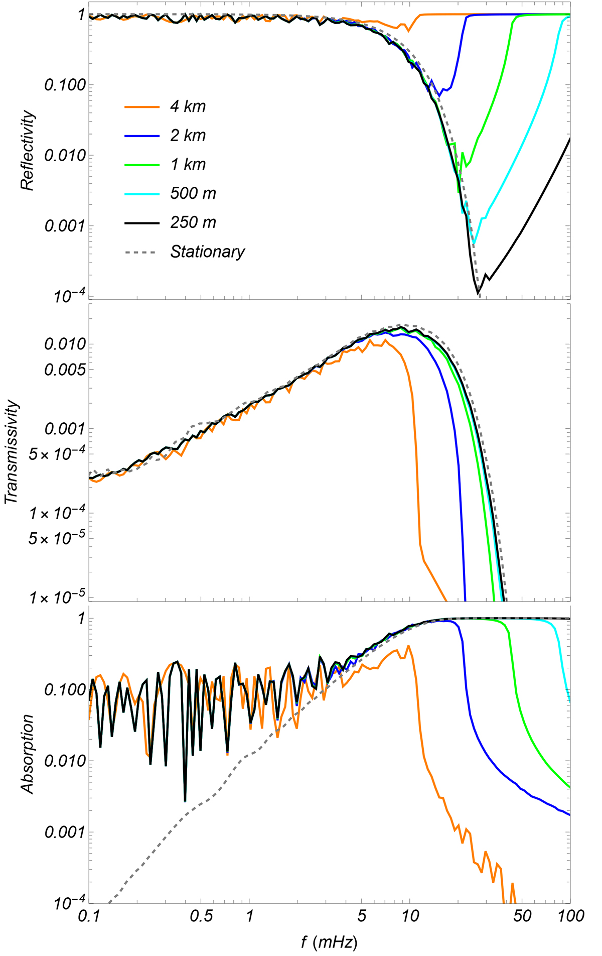
Time-dependent results. Reflectivity (top), transmissivity (middle), and absorption (bottom) coefficients as functions of the Alfvén wave frequency for t = 20 τA. The solid lines of various colors correspond to different spatial resolutions, while the dashed gray line denotes the results in the stationary regime.

Current usage metrics show cumulative count of Article Views (full-text article views including HTML views, PDF and ePub downloads, according to the available data) and Abstracts Views on Vision4Press platform.

Data correspond to usage on the plateform after 2015. The current usage metrics is available 48-96 hours after online publication and is updated daily on week days.

Initial download of the metrics may take a while.