Open Access

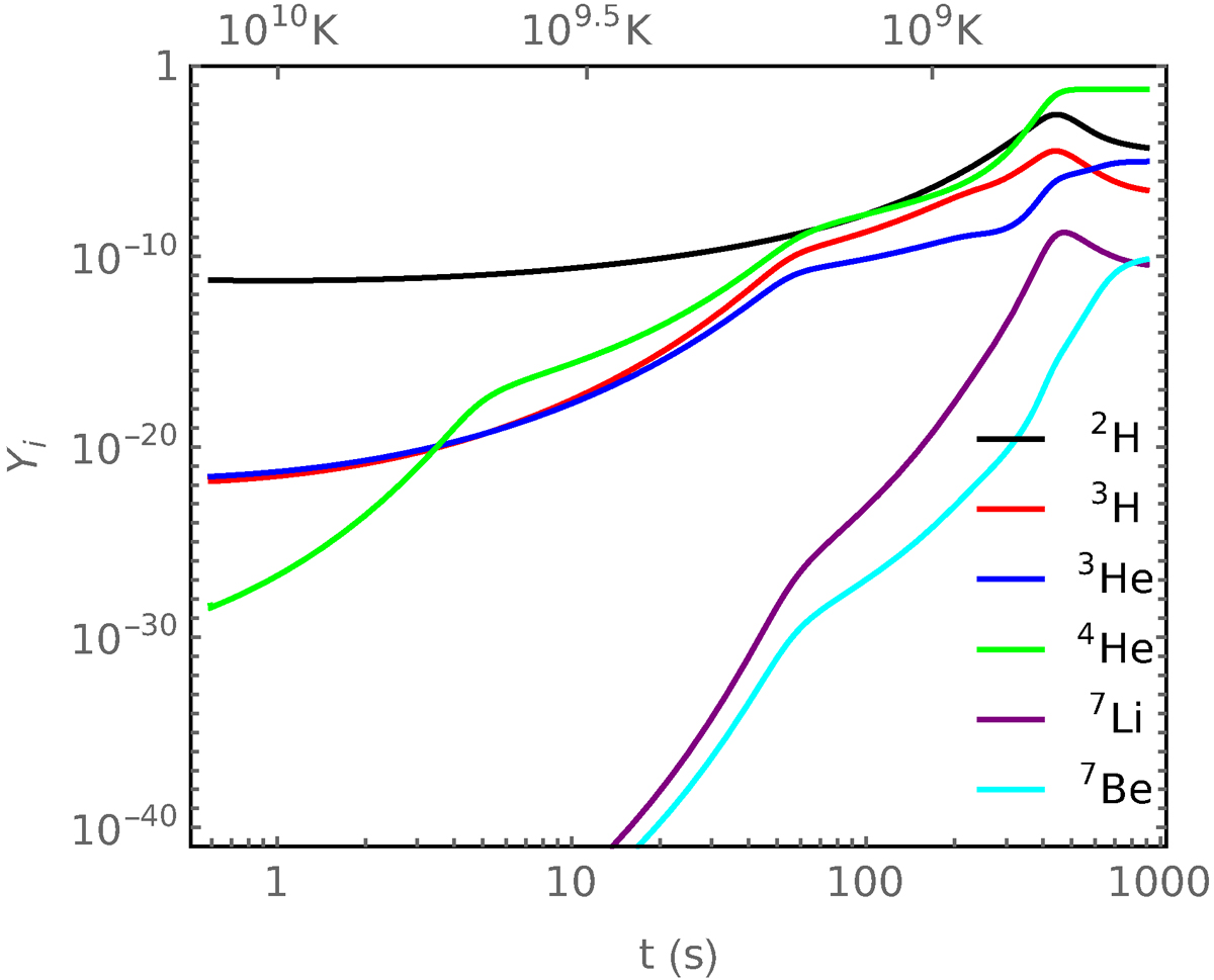
Fig. 1.

image

Download original image

Element abundance for the case corresponding to fit* in Table 1. We note the similarity with the figures in the Appendix of Gueorguiev & Maeder (2025a) for the standard BBN and SIV case discussed there.

Current usage metrics show cumulative count of Article Views (full-text article views including HTML views, PDF and ePub downloads, according to the available data) and Abstracts Views on Vision4Press platform.

Data correspond to usage on the plateform after 2015. The current usage metrics is available 48-96 hours after online publication and is updated daily on week days.

Initial download of the metrics may take a while.