Open Access

Fig. 3.

image

Download original image

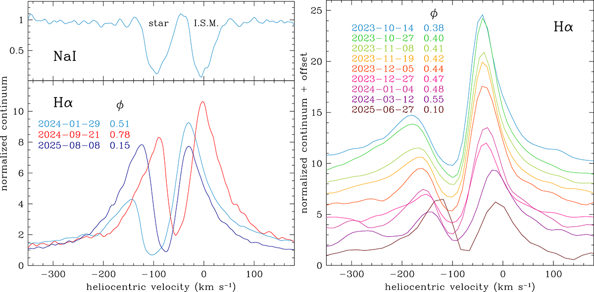
Top-left panel: Fully split stellar and interstellar absorption components to NaI 5890 from the Asiago 1.82m + Echelle high-resolution spectrum of AT 2023txn for 2024-01-29. Bottom-left panel: Hα profiles of AT 2023txn from the Asiago 1.82m + Echelle high-resolution spectra. Right panel: Evolution of the Hα profile on the Varese 0.84m + Echelle high-resolution spectra. All phases ϕ are computed according to Eq. (1).

Current usage metrics show cumulative count of Article Views (full-text article views including HTML views, PDF and ePub downloads, according to the available data) and Abstracts Views on Vision4Press platform.

Data correspond to usage on the plateform after 2015. The current usage metrics is available 48-96 hours after online publication and is updated daily on week days.

Initial download of the metrics may take a while.