Open Access

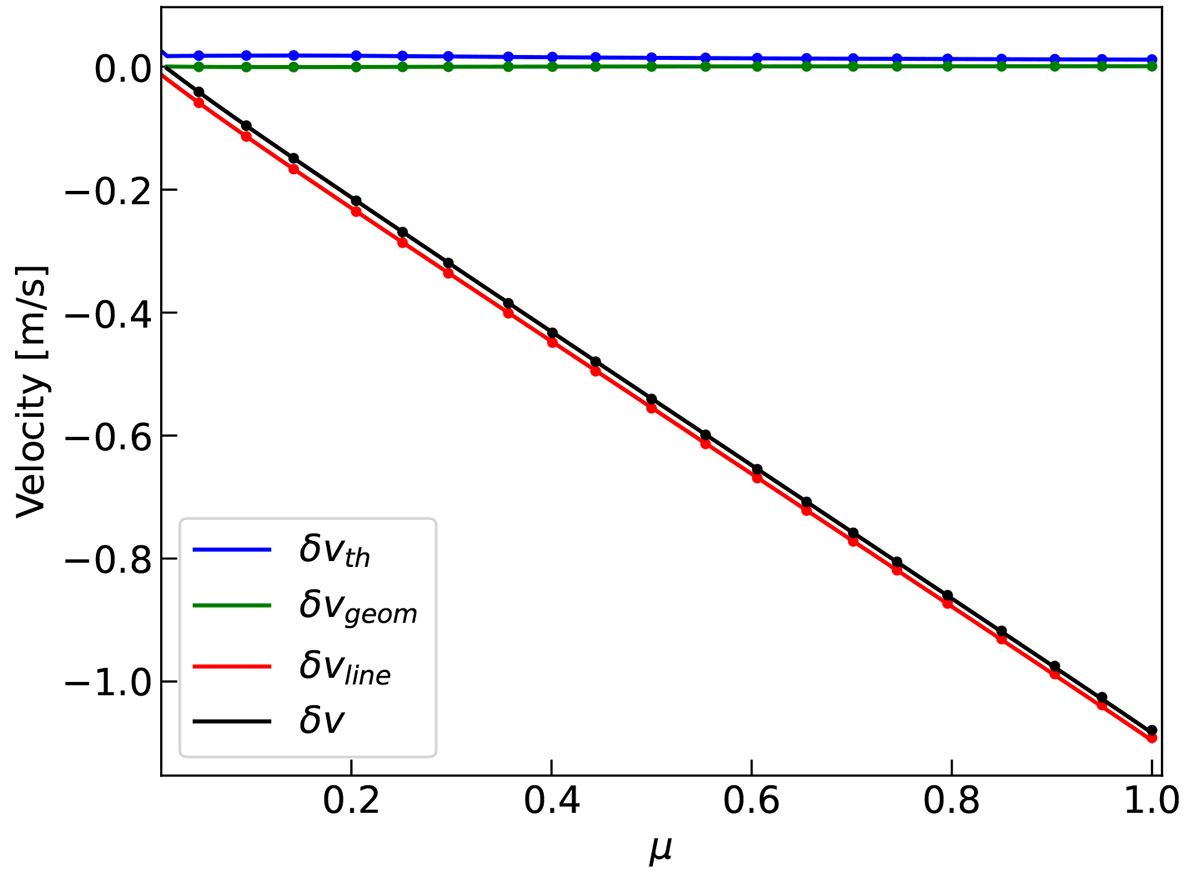
Fig. A.2.

image

Download original image

Test of the direct computation of velocity and comparison with the first-order computation. The velocity computation is done with the HMI algorithm after convolution of the intensity with the filtergrams shown in Fig. 2. The different contributions as well as the total velocity are shown using the first-order approach (solid line) and direct computation (dots).

Current usage metrics show cumulative count of Article Views (full-text article views including HTML views, PDF and ePub downloads, according to the available data) and Abstracts Views on Vision4Press platform.

Data correspond to usage on the plateform after 2015. The current usage metrics is available 48-96 hours after online publication and is updated daily on week days.

Initial download of the metrics may take a while.