Open Access

Fig. 5.

image

Download original image

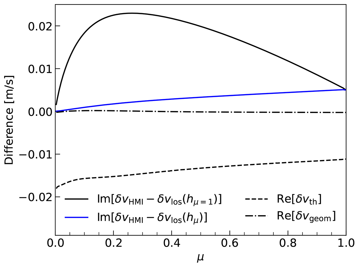
Difference between the velocity perturbation caused by an example radial p-mode (l = 0, n = 20, ωnl/2π = 2.90 mHz) of amplitude 1.0 m/s (at the surface at the disk center) computed from the HMI algorithm (without background velocity) and a simple line-of-sight approximation evaluated at the formation height at each position on the disk, hμ, or at disk center, hμ = 1. We note that δvlos is purely imaginary so that Re[δvth] and Re[δvgeom] are a deviation from the simple line-of-sight approximation. A center-to-limb effect is observed in the imaginary part and in the thermodynamic contribution. For this radial mode, the geometrical component is small.

Current usage metrics show cumulative count of Article Views (full-text article views including HTML views, PDF and ePub downloads, according to the available data) and Abstracts Views on Vision4Press platform.

Data correspond to usage on the plateform after 2015. The current usage metrics is available 48-96 hours after online publication and is updated daily on week days.

Initial download of the metrics may take a while.