Open Access

Fig. 3.

image

Download original image

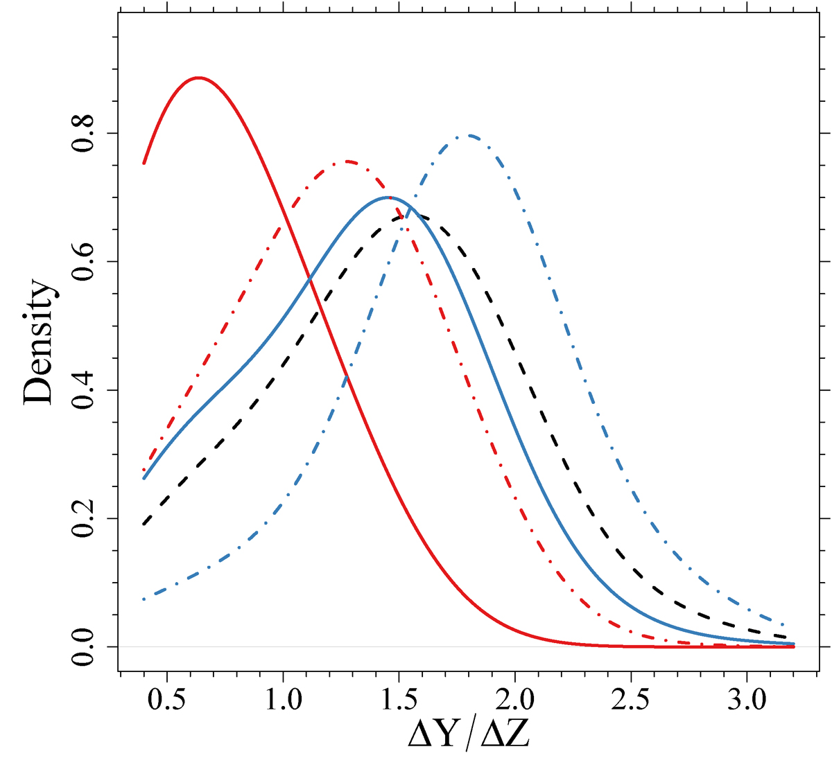
Kernel density estimators for the analysed sub-samples. The solid red and blue lines indicate the red and blue sub-samples for MG > 6.4 mag. The dot-dashed lines corresponds to the red and blue sub-sample but for MG < 6.4 mag. The black dashed line is the global estimator for all the stars but for the less evolved red components.

Current usage metrics show cumulative count of Article Views (full-text article views including HTML views, PDF and ePub downloads, according to the available data) and Abstracts Views on Vision4Press platform.

Data correspond to usage on the plateform after 2015. The current usage metrics is available 48-96 hours after online publication and is updated daily on week days.

Initial download of the metrics may take a while.