Open Access

Fig. 2

image

Download original image

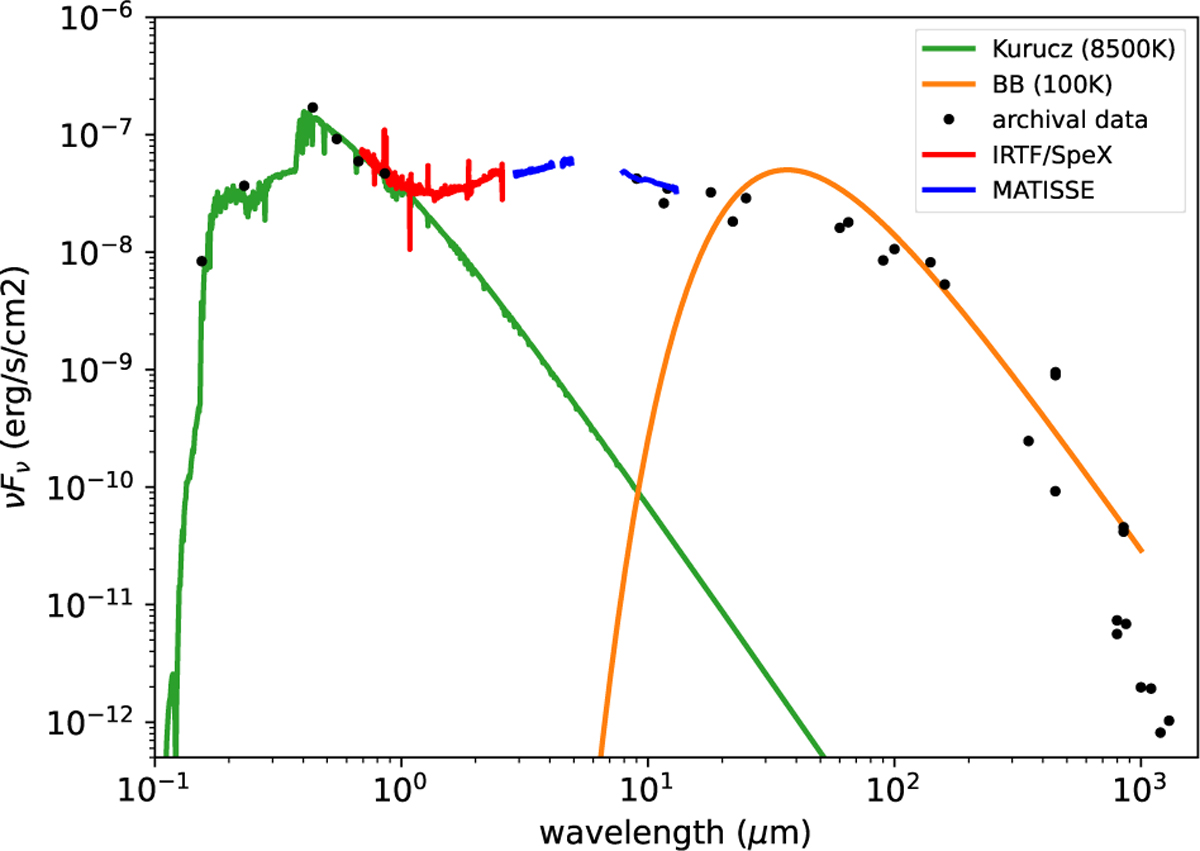
Dereddened SED of Z CMa during the 2023 outburst. Our own SpeX/IRTF and MATISSE spectra are shown in red and blue, respectively. For a description of the archival photometry (black points), we refer the reader to Sect. 2.1. A Kurucz model (green) and a blackbody model (orange) are shown for reference.

Current usage metrics show cumulative count of Article Views (full-text article views including HTML views, PDF and ePub downloads, according to the available data) and Abstracts Views on Vision4Press platform.

Data correspond to usage on the plateform after 2015. The current usage metrics is available 48-96 hours after online publication and is updated daily on week days.

Initial download of the metrics may take a while.