Open Access

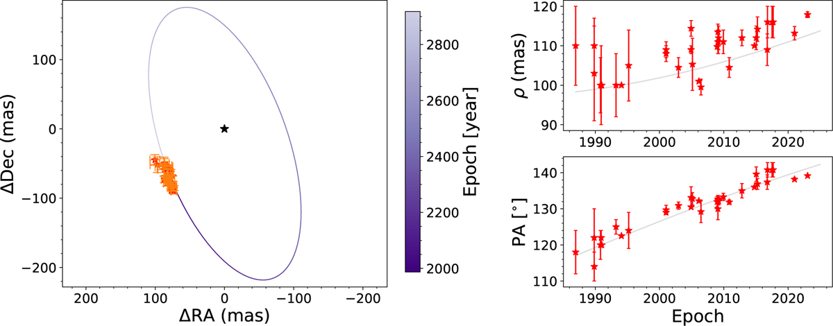
Fig. 9

image

Download original image

Best-fit orbital solution from orbitize using relative astrometry for Z CMa (Table E.1). Left panel shows one orbit (purple line, color-coded per year as shown in the color bar) with the relative astrometry of the FUor companion (orange points) and the location of the HBe star (asterisk). Right panels show the solution of the same orbit (gray lines) against the angular separation (top) and PA (bottom) that is also included in the left panel.

Current usage metrics show cumulative count of Article Views (full-text article views including HTML views, PDF and ePub downloads, according to the available data) and Abstracts Views on Vision4Press platform.

Data correspond to usage on the plateform after 2015. The current usage metrics is available 48-96 hours after online publication and is updated daily on week days.

Initial download of the metrics may take a while.