Open Access

Fig. 24

image

Download original image

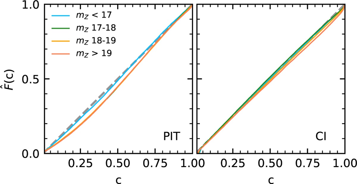
PIT and CI tests that were conducted on the TOPz output PDFs. The two panels from left to right show the cumulative fraction of the underlying PIT and CI values, respectively. For more info on PIT and CI tests, see Sect. 8.4. The one-to-one relation that shows the ideal distribution is drawn with a diagonal dashed grey line. The cumulative fraction is given in four magnitude ranges with the values and colours identical to Fig. 19. Only the faintest magnitude bin shows a slight deviation from the theoretical expectation.

Current usage metrics show cumulative count of Article Views (full-text article views including HTML views, PDF and ePub downloads, according to the available data) and Abstracts Views on Vision4Press platform.

Data correspond to usage on the plateform after 2015. The current usage metrics is available 48-96 hours after online publication and is updated daily on week days.

Initial download of the metrics may take a while.