Open Access

Fig. B.6

image

Download original image

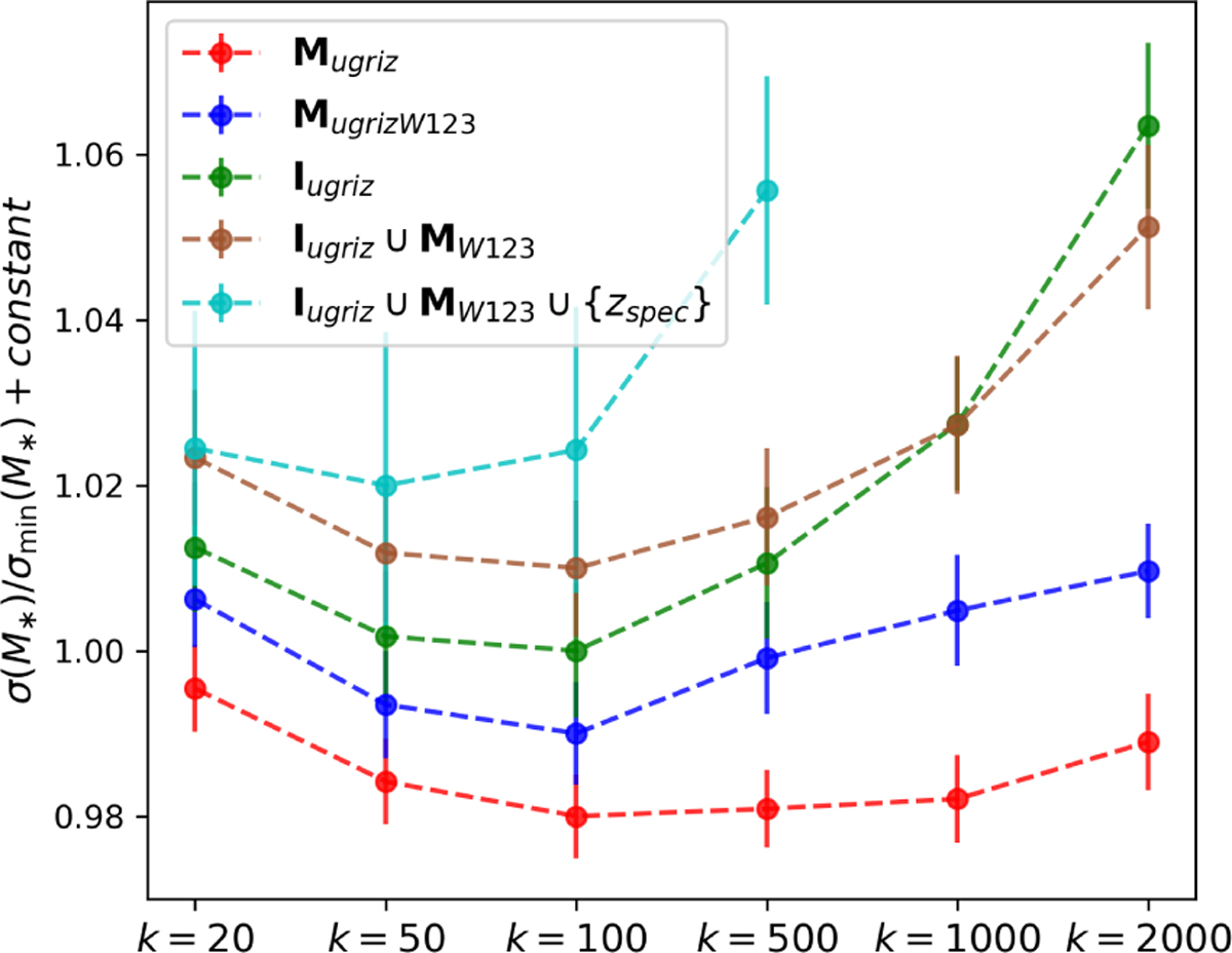
Estimation accuracy quantified by σ(M*)/σmin(M*) as a function of k for the five models defined in Table 2. σ(M*) refers to the standard deviation of log stellar mass residuals estimated using a given k of nearest neighbors, and σmin(M*) refers to the minimum value over the k grid for each model. The error bars are obtained using bootstrap. The points at k = 1000 and k = 2000 for the model Iu𝑔rizMW123ɀspec are not shown due to significantly high values.

Current usage metrics show cumulative count of Article Views (full-text article views including HTML views, PDF and ePub downloads, according to the available data) and Abstracts Views on Vision4Press platform.

Data correspond to usage on the plateform after 2015. The current usage metrics is available 48-96 hours after online publication and is updated daily on week days.

Initial download of the metrics may take a while.