Open Access

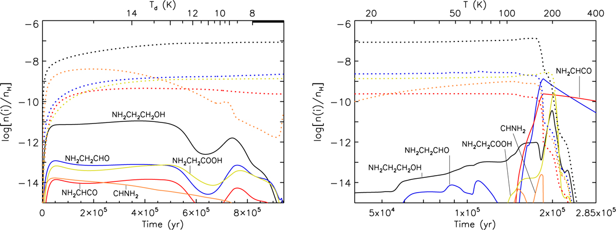
Fig. 3

image

Download original image

Fractional abundances of NH2CHCO and relevant products with respect to total hydrogen. The results correspond to the Basic setup, with the collapse stage shown on the left and the warm-up stage shown on the right. Solid lines indicate gas-phase abundances; dotted lines of the same color indicate the species on the grain (surface and bulk ice combined). The thicker bar in the upper axis of the left panel indicates that the dust temperature remains at 8 K once that value is reached.

Current usage metrics show cumulative count of Article Views (full-text article views including HTML views, PDF and ePub downloads, according to the available data) and Abstracts Views on Vision4Press platform.

Data correspond to usage on the plateform after 2015. The current usage metrics is available 48-96 hours after online publication and is updated daily on week days.

Initial download of the metrics may take a while.