Open Access

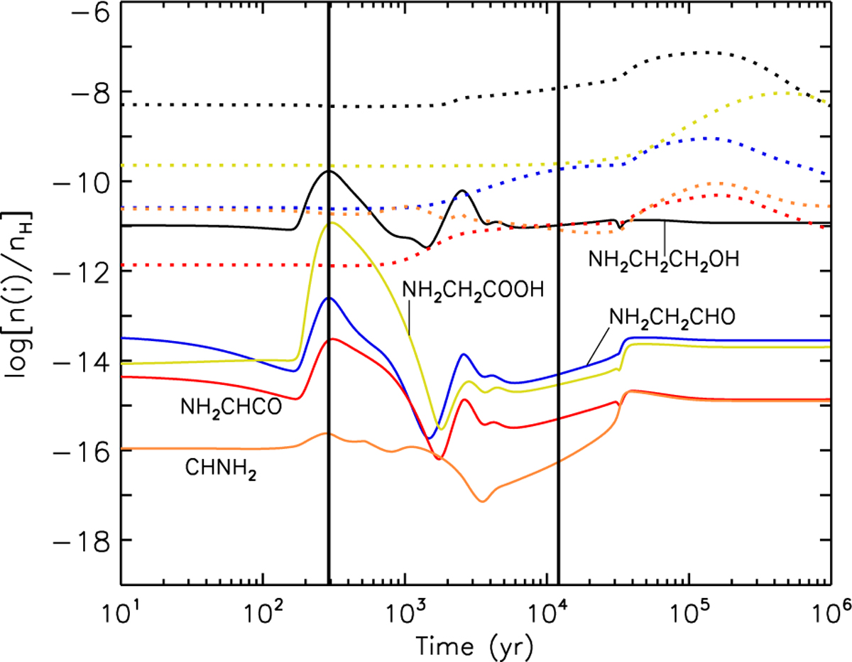
Fig. 6

image

Download original image

Fractional gas-phase abundances of NH2CHCO and relevant products with respect to total hydrogen. The results correspond to the S-VHCR setup, with the collapse stage shown on the left and the shocked stage shown on the right. Solid lines indicate gas-phase abundances; dotted lines of the same color indicate the species on the grain (surface and bulk ice).

Current usage metrics show cumulative count of Article Views (full-text article views including HTML views, PDF and ePub downloads, according to the available data) and Abstracts Views on Vision4Press platform.

Data correspond to usage on the plateform after 2015. The current usage metrics is available 48-96 hours after online publication and is updated daily on week days.

Initial download of the metrics may take a while.