Open Access

Fig. 5.

image

Download original image

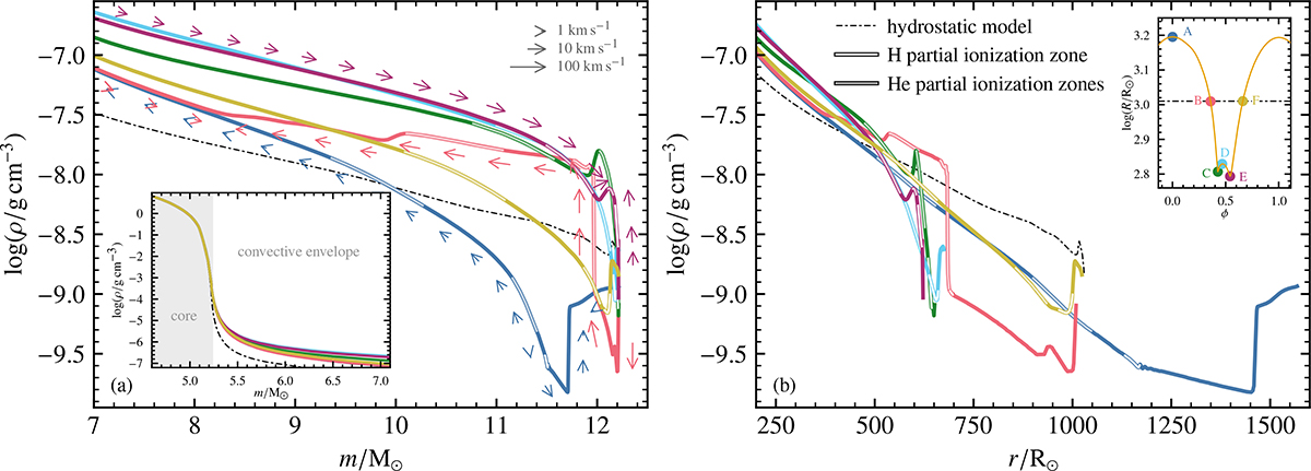
Density profiles of the RSG envelope at points A–F during the pulsation cycle in terms of mass coordinate (panel a) and radius coordinate (panel b). The highlighted regions show hydrogen and helium partial ionization zones where the ionization fraction is between 10% and 90%. The density profile of the hydrostatic model is shown for comparison. Arrows along the profiles indicate the radial velocity, both the direction (inwards or negative; outwards or positive) and the magnitude, and highlight layers that are expanding/contracting. The inset in panel a shows the density structure of the interior layers, up to where the core was cut out. The shading indicates the core region of the RSG. The inset in panel b shows the radius evolution of one pulsation cycle and indicates the points A–F. The temporal evolutions are available as an online movie panel a and an online movie panel b.

Current usage metrics show cumulative count of Article Views (full-text article views including HTML views, PDF and ePub downloads, according to the available data) and Abstracts Views on Vision4Press platform.

Data correspond to usage on the plateform after 2015. The current usage metrics is available 48-96 hours after online publication and is updated daily on week days.

Initial download of the metrics may take a while.