Open Access

Fig. 9

image

Download original image

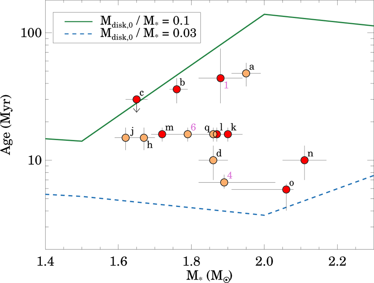
Age as a function of stellar mass for known CO-rich debris systems. As in Fig. 7, the red symbols indicate disks with estimated CO masses >0.01 M, while the orange ones represent disks with MCO between 0.001 and 0.01 M. The labels of the disks (numbers or letters) are also the same as in Fig. 7. The solid green and dashed blue curves show the lifetimes of primordial gas in disks depleted in submicron size dust particles assuming initial disk masses of Mdisk,0 = 0.1M* and Mdisk,0 = 0.03M*, respectively. The curves are taken from Ooyama et al. (2025).

Current usage metrics show cumulative count of Article Views (full-text article views including HTML views, PDF and ePub downloads, according to the available data) and Abstracts Views on Vision4Press platform.

Data correspond to usage on the plateform after 2015. The current usage metrics is available 48-96 hours after online publication and is updated daily on week days.

Initial download of the metrics may take a while.