Open Access

Fig. 2.

image

Download original image

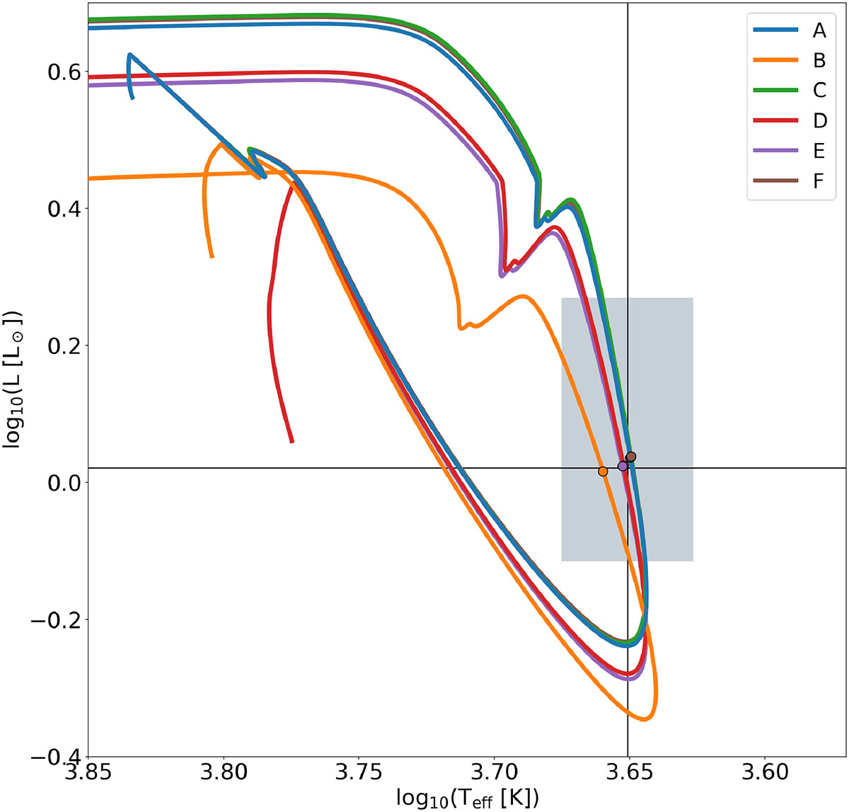
Evolutionary tracks of the donor star for the models representing the system XTE J1550-564. The points on the graph represent the estimation of the actual age for each model. Black lines show the observational estimations for the donor’s luminosity and effective temperature, while the respective errors are represented by the grey-shaded area.

Current usage metrics show cumulative count of Article Views (full-text article views including HTML views, PDF and ePub downloads, according to the available data) and Abstracts Views on Vision4Press platform.

Data correspond to usage on the plateform after 2015. The current usage metrics is available 48-96 hours after online publication and is updated daily on week days.

Initial download of the metrics may take a while.