Open Access

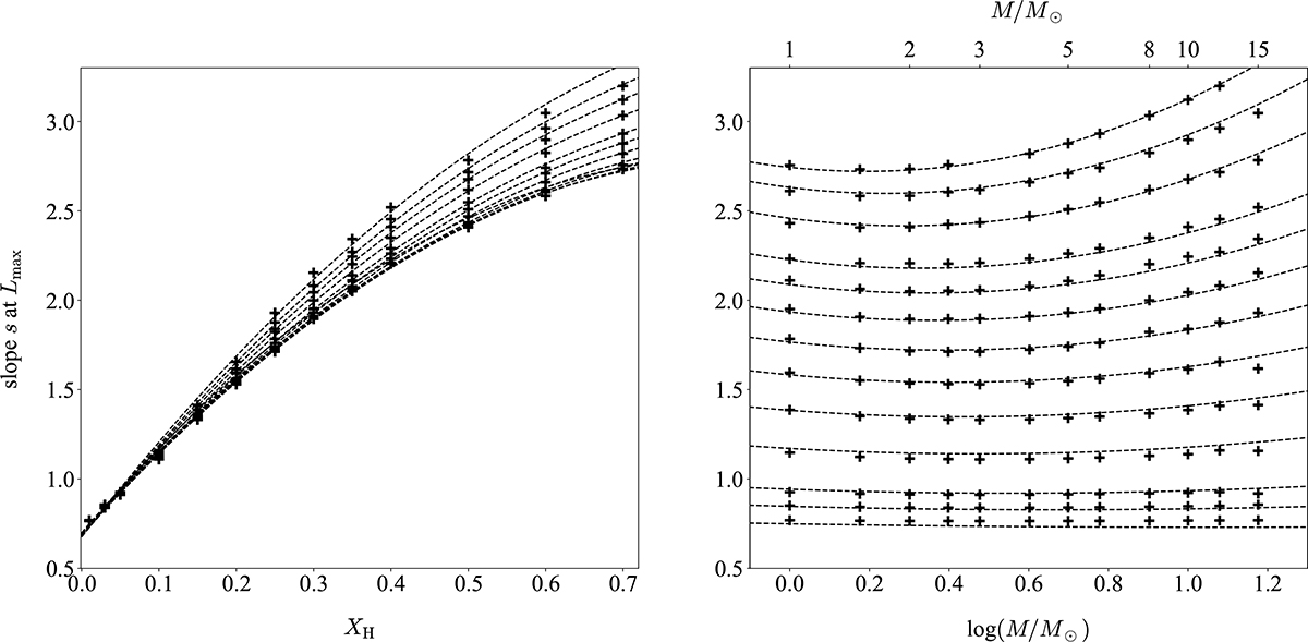
Fig. D.1.

image

Download original image

Slope, s, that maximises the luminosity for given total mass and surface XH for Z = 0.008. Left: Slope, s, as a function of surface XH for total masses ranging from 1 M to 18 M. Right: s as a function of total mass for XH values ranging from 0.01 to 0.7. The plus signs indicate estimates from our structure models, while the dashed black lines represent our best-fit formula from Eq. D.1

Current usage metrics show cumulative count of Article Views (full-text article views including HTML views, PDF and ePub downloads, according to the available data) and Abstracts Views on Vision4Press platform.

Data correspond to usage on the plateform after 2015. The current usage metrics is available 48-96 hours after online publication and is updated daily on week days.

Initial download of the metrics may take a while.